当前位置:网站首页>吴恩达机器学习第3-4章
吴恩达机器学习第3-4章
2022-07-17 05:20:00 【爱编程的西瓜】
吴恩达机器学习第3-4章
第三章
第三章主要讲解矩阵的基础知识,如果你考过研了,你可以跳过。如果没有考过研的话,需要认真看一看,但由于讲得比较基础,可能会有很多不懂的地方,你可以找一找讲线性代数的课程看一看。
第四章
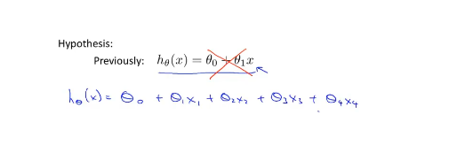
4-1多变量
若我们有四个特征量,当我们有多个特征值后,我们的预测方程就应该变化。

为了方便表达,我们会令x0=1,相当于额外定义了一个特征量x0。之后的预测方程就可以变为
4-2 多元梯度下降
根据上一章得出的多元特征的预测函数和代价函数,则可以得出他的新梯度下降的表示形式。


4-3 多元梯度下降演练1-特征缩放
当有两个特征量,而且这两个特征量的值相差特别大时,那么画出来的等高线则会非常的细长,需要找很久才能找到全局最小值。
这个时候,一个有效的方法就时特征缩放。这样画出来的等高线就会看起来更圆一点。
通常我们将特征值缩放到-1到1这个区间,当然这个不是必须的,也可以缩放到其他区间,
有时候我们也会做均值归一化。特征量减平均值再除以数量。
4-4 多元梯度下降演练2学习率
不同的问题,学习迭代的次数就不一样,有的问题可能迭代30次就收敛了,有的问题迭代300次才收敛。
当步长太大时,可能会照成无法收敛的状态。当步长太小时,可能会照成收敛很慢的状态。


4-5 特征和多项式回归
若再房屋售卖的例子中,我们的特征值有一个长度和宽度,那么就意味着房屋的面积为长乘宽。那么预测方程就能变成一个特征值房屋面积。
4-6 正规方程(区别于迭代方法的直接解法)
我们之前一直用的都是梯度下降法来求各个θ值。而正规方程用的是解析方程而得到的θ值,所以不再需要我们去运行迭代算法,而是直接一次性的就出θ的值。可以看出,其实正规方程就是为函数求导,而得到最小值。如果学过高数的话,应该很容易理解
若放在矩阵中的话,情况就会稍微有点不一样。直接用一直式子就可以得出使函数最小化的θ值。

梯度下降和正规方程的比较。当特征值的数量很大时,推荐使用梯度下降,当特征值的数量不是很大时,推荐使用正规方程。
4-7 正规方程在矩阵不可逆的情况下的解决方法
在有时候我们可能会碰到特征方程不可逆的情况,在Octave中,有个函数为pinv,他能够在矩阵不可逆的情况下,就出θ。
矩阵不可逆的情况一般有两种:一种时包含了多余的特征值,如房屋售卖中,一种特征值为米为单位的房屋面积,另一种时以英尺为单位的房屋面积。另一种是特征值太多了,导致样本数量小于特征值的数量。
边栏推荐
- 人脸识别错误
- 从零开始的 Rust 语言 blas 库之预备篇(2)—— blas 矩阵格式详解
- 实验三 继承性和派生类
- [force buckle] bracket matching
- LeetCode树
- Résoudre le problème de l'ambiguïté de la cible dans l'interaction de fixation 3D par l'estimation de la profondeur vor
- Read pictures and convert them to show different color spaces
- [force buckle] single valued binary tree
- 山西省第二届网络安全技能大赛(企业组)部分赛题WP(二)
- WebService接口的创建与实现
猜你喜欢
![[Li Kou] a subtree of another tree](/img/96/1aaf8b8ff310677aeaabe4859eec46.png)
[Li Kou] a subtree of another tree

Résoudre le problème de l'ambiguïté de la cible dans l'interaction de fixation 3D par l'estimation de la profondeur vor

Solution: unable to load file c:\program files\ Because running scripts is forbidden on this system

Daily eye contact detection uses unsupervised gaze target detection

EOG based eye movement detection and gaze estimation for an asynchronous virtual keyboard

Color histogram grayscale image & color image

Positional Change of the Eyeball During Eye Movements: Evidence of Translatory Movement眼球运动过程中眼球的位

DSL realizes automatic completion query

《PyTorch深度学习实践》-B站 刘二大人-day7

Cable TV network (tree grouping)
随机推荐
Busybox specified date modification temporarily does not require clock -w to write to hardware
Solutions to slow transmission speed of FileZilla virtual machine
Internship written examination answers
Set the index library structure, add suggestions that can be automatically completed to users, and turn some fields into collections and put them into suggestions
XOR gun (bit operation, thinking, interval violence)
Color histogram grayscale image & color image
Restapi implements aggregation (dark horse tutorial)
2022/07/09 group 5 Ding Shuai's study notes day02
三维凝视估计,没有明确的个人校准2018
Talking about several solutions of cross domain
[usaco06dec]the fewest coins g (hybrid backpack)
Make menuconfig missing ncurses
Restclient multi conditional aggregation
Using VOR depth estimation to solve the problem of target ambiguity in three-dimensional gaze interaction
[force buckle] copy the linked list with random pointer
Longest bracket match (linear DP)
Automatic completion & (custom) Pinyin word Separator &
Solution: unable to load file c:\program files\ Because running scripts is forbidden on this system
虚拟现实中的眼睛跟踪
实验五: GUI