当前位置:网站首页>Flink (II) time and window
Flink (II) time and window
2022-07-18 11:22:00 【Canon C】
Flink( Two ) Time and window
- One .DataStream
- Two . Time and window
One .DataStream
1. summary
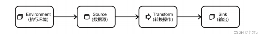
DataStream( Data flow ) Itself is Flink A class used to represent a data set in (Class), We wrote Flink The code is actually based on the processing of this data type , So this set of core API So DataStream name . For batch and stream processing , We can all use the same set API To achieve
One Flink Program , That's right DataStream All kinds of transformations of . say concretely , The code is basically composed of the following parts
- Get execution environment (execution environment)
- Read data source (source)
- Define data-based transformation operations (transformations)
- Define the output location of the calculation results (sink)
- Trigger program execution (execute)

2. execution environment
Ed Write Flink cheng order Of The first One Step , Just yes gen build Of board That's ok Ring habitat . We want to a take Of Of board That's ok Ring habitat , yes StreamExecutionEnvironment Class object , This is all. Flink The basis of the procedure . How to create an execution environment in your code , Is to call the static method of this class , There are the following three types
1.getExecutionEnvironment
Call directly getExecutionEnvironment Method . It will get the correct result directly according to the current running context : If the program runs independently , Return to a local execution environment ; If you created jar package , Then call it from the command line and submit it to the cluster for execution , Then return to the execution environment of the cluster . in other words , This method will be based on the current operation mode , Decide what kind of operating environment to return to
StreamExecutionEnvironment env = StreamExecutionEnvironment.getExecutionEnvironment();
2. createLocalEnvironment
This method returns a local execution environment . You can pass in a parameter when calling , Specify the default parallelism ; If it doesn't come in , The default parallelism is local CPU The core number
StreamExecutionEnvironment localEnv = StreamExecutionEnvironment.createLocalEnvironment();
3. createRemoteEnvironment
This method returns the cluster execution environment . Need to be specified when calling JobManager Host name and port number , And specify the to run in the cluster Jar package
After getting the program execution environment , We can also set the execution environment flexibly . For example, you can set the parallelism of the program globally 、 Disable operator chains , You can also define the temporal semantics of the program 、 Configure fault-tolerant mechanism
Three processing modes
Stream execution mode (STREAMING)
This is a DataStream API The most classic model , It is generally used for unbounded data streams that need continuous real-time processing . By default , The program uses STREAMING Execution mode ,Flink What it holds is the world view of stream processing , Even batch data , It can also be seen as “ Bounded flow ” To process . therefore STREAMING Execution patterns are valid for both bounded and unbounded dataBatch execution mode (BATCH)
Execution mode dedicated to batch processing , In this mode ,Flink The way jobs are processed is similar to MapReduce Framework for bounded data that will not be continuously computed , It will be more convenient for us to use this modeAutomatic mode (AUTOMATIC)
In this mode , It will be determined by the program according to whether the input data source is bounded , To automatically select the execution mode
How to set up BATCH Pattern ?
(1) Configure from the command line
bin/flink run -Dexecution.runtime-mode=BATCH ...
When submitting the assignment , increase execution.runtime-mode Parameters , The specified value is BATCH
(2) Through code configuration
StreamExecutionEnvironment env = StreamExecutionEnvironment.getExecutionEnvironment();
env.setRuntimeMode(RuntimeExecutionMode.BATCH);
4. The source operator
Flink Data can be obtained from various sources , And then build DataStream Conversion processing . Generally, the input source of data is called data source (data source), The operator that reads the data is the source operator (source operator). therefore ,source It's the input of our whole handler
Flink General addition in code source The way , Is to call the execution environment addSource() Method :
DataStream<String> stream = env.addSource(...);
Method passes in an object parameter , Need to achieve SourceFunction Interface ; return DataStreamSource, Reading data source An operation is an operator , What you get is a data stream (DataStream)
、
Common source operators that can be used directly
public class SourceTest {
public static void main(String[] args) throws Exception {
// 1. Create an execution environment
StreamExecutionEnvironment env = StreamExecutionEnvironment.getExecutionEnvironment();
env.setParallelism(1);
// Mode one . Read data from file
DataStreamSource<String> source = env.readTextFile("./input/clicks.txt");
source.print();
// Mode two . Reading data from a collection
ArrayList<Integer> list = new ArrayList<>();
list.add(10);
list.add(20);
DataStreamSource<Integer> source1 = env.fromCollection(list);
source1.print();
// Mode three . Read Socket Text stream
DataStreamSource<String> source2 = env.socketTextStream("hadoop102", 7777);
env.execute();
}
}
Kafka Source
Introduce dependencies
<dependency>
<groupId>org.apache.flink</groupId>
<artifactId>flink-connector-kafka_${scala.binary.version}</artifactId>
<version>${flink.version}</version>
</dependency>
public class KafkaSource {
public static void main(String[] args) throws Exception {
// 1. Create an execution environment
StreamExecutionEnvironment env = StreamExecutionEnvironment.getExecutionEnvironment();
// 2. To configure
Properties properties = new Properties();
properties.put(ConsumerConfig.BOOTSTRAP_SERVERS_CONFIG,"hadoop102:9092");
properties.put(ConsumerConfig.KEY_DESERIALIZER_CLASS_CONFIG, StringDeserializer.class);
properties.put(ConsumerConfig.VALUE_DESERIALIZER_CLASS_CONFIG,StringDeserializer.class);
properties.put(ConsumerConfig.GROUP_ID_CONFIG,"100");
properties.put(ConsumerConfig.AUTO_OFFSET_RESET_CONFIG,"latest");
// The first parameter is the theme The second parameter is the deserialization type
DataStreamSource<String> kafkaSource =
env.addSource(new FlinkKafkaConsumer<String>("click", new SimpleStringSchema(), properties));
kafkaSource.print();
env.execute();
}
}
Custom source
Most of the time , The previous data source has been able to meet the needs . But there are always exceptions , In case of special circumstances , The data source we want to read comes from an external system , and flink There is no pre implemented method 、 No connector is provided , What to do ?
Then we have to customize the implementation SourceFunction 了
Next, we create a custom data source , Realization SourceFunction Interface
Mainly rewrite two key methods :
- run() Method : Use runtime context objects (SourceContext) Send data downstream
- cancel() Method : Exit the loop through the identification bit control , To interrupt the data source
Customize pojo Event
public class Event {
public String user; // user name
public String url; // User accessed url
public Long timestamp; // Access timestamps
// Omit the construction method get set toString
}
Rewrite the two methods every 1 Second generates random analog data
public class ClickSource implements SourceFunction<Event> {
// Declare a boolean variable , Identification bit generated as control data
private Boolean running = true;
@Override
public void run(SourceContext<Event> ctx) throws Exception {
Random random = new Random(); // Randomly select data in the specified data set
String[] users = {
"Mary", "Alice", "Bob", "Cary","Sun","Joe"};
String[] urls = {
"./home", "./cart", "./fav", "./prod?id=1", "./prod?id=2","./like"};
while (running) {
ctx.collect(new Event(
users[random.nextInt(users.length)],
urls[random.nextInt(urls.length)],
Calendar.getInstance().getTimeInMillis()
));
// Partition 1 Second generates a click event , Convenient for observation
Thread.sleep(1000);
}
}
@Override
public void cancel() {
running = false;
}
}
What we should pay attention to here is SourceFunction Interface defined data source , Parallelism can only be set to 1, So if we want to customize parallel data sources , Need to achieve ParallelSourceFunction
5. Conversion operator
5.1 Basic transformation operator
map
map It is mainly used to convert the data in the data stream , Forming a new data stream . Simply speaking , It's just one. “ One-to-one mapping ”, Consuming one element produces one element

public interface MapFunction<T, O> extends Function, Serializable {
O map(T var1) throws Exception;
}
filter
filter Conversion operation , As the name suggests, it performs a filter on the data stream , Set filtering through a Boolean conditional expression
Conditions , Judge each element in the flow , if true Then the element outputs normally , if false Then the element is filtered out 
public interface FilterFunction<T> extends Function, Serializable {
boolean filter(T var1) throws Exception;
}
flatMap
flatMap Operations are also called flat mapping , It is mainly to integrate the whole data in the data flow ( Generally, it is a collection type ) Split into individual use . Consumption is an element , Can produce 0 To multiple elements .flatMap Think of it as “ flat ”(flatten) and “ mapping ”(map) The combination of two steps 
public interface FlatMapFunction<T, O> extends Function, Serializable {
void flatMap(T var1, Collector<O> var2) throws Exception;
}
5.2 Aggregation operator
Key partition keyBy Before using the aggregation operator
about Flink for ,DataStream There is no direct aggregation API Of . Because we must carry out partition parallel processing to aggregate massive data , That's how it works . So in Flink in , We need to aggregate , Partition is required first ; This operation is through keyBy To complete
Based on different key, The data in the stream will be allocated to different partitions , thus , All have the same key The data of , Will be sent to the same partition , Then the next operator operation will be in the same slot We've dealt with , The partition here , It's actually a subtask of parallel processing , It corresponds to the task slot (task slot)

public interface KeySelector<IN, KEY> extends Function, Serializable {
KEY getKey(IN var1) throws Exception
}
Simple aggregation
With the data flow of key partition KeyedStream, We can aggregate based on it .Flink We have built-in implementation of some of the most basic 、 The simplest aggregation API, There are mainly the following
- sum(): On the input stream , Superimpose and sum the specified fields
- min(): On the input stream , Yes Specified fields For the minimum
- max(): On the input stream , Yes Specified fields For maximum
- minBy(): And min() similar , Find the minimum value for the specified field on the input stream . The difference is ,min() Calculate only the minimum value of the specified field , Other fields retain the value of the first data ; and minBy() The whole piece of data containing the minimum value of the field will be returned
- maxBy(): And max() similar , Find the maximum value for the specified field on the input stream . The difference between the two is
min()/minBy() Exactly the same
Reduced aggregation reduce Both input and return value types are the same
public interface ReduceFunction<T> extends Function, Serializable {
T reduce(T var1, T var2) throws Exception;
}
6. Output operator
Flink Of DataStream API The method of writing data to the outside is specially provided :addSink. And addSource similar ,addSink Method corresponds to a “Sink” operator , It is mainly used to connect with external systems 、 And submit the data to the ;Flink All external output operations in the program , It's usually using Sink count Sub completed
Sink The word has “ sinking ” It means , Some information will be relative to “ data source ” Translate it into “ Data collection ”. No matter how you understand ,Sink stay Flink Represents the collection of result data 、 Meaning of output to the outside , So we call it intuitively here “ Output operator ”
What we've been using before print The method is actually a kind of Sink, It means writing a data stream to a standard console printout . Check the source code to find out ,print Method returns a DataStreamSink

8.1 output to a file
StreamingFileSink It provides a unified solution for batch and stream processing Sink, It can write partition files to Flink Supported file systems
Its main operation is to write data into the bucket (buckets), The data in each bucket can be divided into partition files with limited size , In this way, the real distributed file storage is realized . We can control... Through various configurations “ Points barrels ” The operation of ; The default bucket allocation method is based on time , We write a new bucket every hour . let me put it another way , The files stored in each bucket , It's all about 1 Hours of output data
StreamingFileSink Support line coding (Row-encoded) And batch coding (Bulk-encoded, such as Parquet)
Format . These two different approaches have their own builders (builder), Calling methods is also very simple , Can be called directly
StreamingFileSink Static method of :
- Line code :StreamingFileSink.forRowFormat(basePath,rowEncoder)
- Batch coding :StreamingFileSink.forBulkFormat(basePath,bulkWriterFactory)
When creating a row or batch code Sink when , We need to pass in two parameters , Used to specify the basic path of the bucket (basePath) And data coding logic (rowEncoder or bulkWriterFactory)
public class SinkToFile {
public static void main(String[] args) throws Exception {
StreamExecutionEnvironment env = StreamExecutionEnvironment.getExecutionEnvironment();
env.setParallelism(2);
DataStreamSource<Event> source = env.addSource(new ClickSource());
// Generic String Is the data type to be written
StreamingFileSink<String> fileSink = StreamingFileSink.<String>forRowFormat(new Path("./output"),
new SimpleStringEncoder<>("UTF-8"))
.withRollingPolicy(
DefaultRollingPolicy.builder()
.withMaxPartSize(1024 * 1024 * 1024)
.withRolloverInterval(TimeUnit.MINUTES.toMillis(15))
.build()
)
.build();
source.map(Event::toString).addSink(fileSink);
env.execute();
}
}
8.2 Output to Kafka
public class SinkToKafka {
public static void main(String[] args) throws Exception {
// 1. Create an execution environment
StreamExecutionEnvironment env = StreamExecutionEnvironment.getExecutionEnvironment();
// 2. To configure
Properties properties = new Properties();
properties.put(ConsumerConfig.BOOTSTRAP_SERVERS_CONFIG,"hadoop102:9092");
properties.put(ConsumerConfig.KEY_DESERIALIZER_CLASS_CONFIG, StringDeserializer.class);
properties.put(ConsumerConfig.VALUE_DESERIALIZER_CLASS_CONFIG,StringDeserializer.class);
properties.put(ConsumerConfig.GROUP_ID_CONFIG,"100");
properties.put(ConsumerConfig.AUTO_OFFSET_RESET_CONFIG,"latest");
// 3. from Kafka Reading data
DataStreamSource<String> kafkaSource =
env.addSource(new FlinkKafkaConsumer<String>("click", new SimpleStringSchema(), properties));
SingleOutputStreamOperator<String> map = kafkaSource.map(data -> {
String[] strs = data.split(" ");
return new Event(strs[0], strs[1], Long.valueOf(strs[2]), Long.valueOf(strs[3])).toString();
});
// 4. Write to Kafka
map.addSink(new FlinkKafkaProducer<String>("hadoop102:9092","events",new SimpleStringSchema()));
env.execute();
}
}
Here we can see ,addSink The parameter passed in is one FlinkKafkaProducer. It's easy to understand , Because you need to Kafka Write data , Naturally, a producer should be created .FlinkKafkaProducer Inherited the abstract class TwoPhaseCommitSinkFunction, This is an implementation “ Two-phase commit ” Of RichSinkFunction. Two phase submission provides Flink towards Kafka Transactional guarantees for writing data , Can really be accurate once (exactly once) State consistency of
8.3 Output to redis
Flink There is no direct official Redis The connector , however Bahir The project still plays a qualified supporting role , For us Flink-Redis The connection tool for
The specific test steps are as follows
(1) Imported Redis Connector dependency
<dependency>
<groupId>org.apache.bahir</groupId>
<artifactId>flink-connector-redis_2.11</artifactId>
<version>1.0</version>
</dependency>
(2) start-up Redis colony
Here we test for convenience , Only a single node is started Redis
(3) Write output to Redis Example code for
public class SinkToRedis {
public static void main(String[] args) throws Exception {
// 1. Create an execution environment
StreamExecutionEnvironment env = StreamExecutionEnvironment.getExecutionEnvironment();
// 2. To configure
FlinkJedisPoolConfig conf = new
FlinkJedisPoolConfig.Builder()
.setHost("175.178.154.194")
.setPassword("zks0.0")
.setDatabase(0)
.build();
DataStreamSource<Event> source = env.addSource(new ClickSource());
source.addSink(new RedisSink<>(conf, new RedisMapper<Event>() {
@Override // Call which redis data structure
public RedisCommandDescription getCommandDescription() {
return new RedisCommandDescription(RedisCommand.SET);
}
// key
@Override
public String getKeyFromData(Event event) {
return event.getUser();
}
// value
@Override
public String getValueFromData(Event event) {
return event.toString();
}
}));
env.execute();
}
}
8.4 Output to Elasticsearch
Flink by ElasticSearch It specially provides official Sink The connector ,Flink 1.13 Support the latest version of
ElasticSearch
Write data ElasticSearch The test steps are as follows
(1) add to Elasticsearch Connector dependency
<dependency>
<groupId>org.apache.flink</groupId>
<artifactId>flink-connector-elasticsearch7_${scala.binary.version}</artifactId>
<version>${flink.version}</version>
</dependency>
(2) start-up Elasticsearch colony
(3) Write output to Elasticsearch Example code for
And RedisSink class like , even Pick up device also by I People real present 了 Write Enter into To Elasticsearch Of SinkFunction—ElasticsearchSink The difference lies in , The construction method of this class is private (private) Of , We need to use ElasticsearchSink Of Builder Inner static class , Call it the build() Method to create a real SinkFunction. and Builder There are two more parameters in the construction method of :
- httpHosts: Connected to Elasticsearch List of cluster hosts
- elasticsearchSinkFunction: This is not what we say SinkFunction, It is used to explain the specific processing logic 、 Prepare data to Elasticsearch The function that sends the request
Specific operations need to be rewritten elasticsearchSinkFunction Medium process Method , We can put the data to be sent in a HashMap in , Package as IndexRequest Send out HTTP request
public class SinkToES {
public static void main(String[] args) throws Exception {
// 1. Create an execution environment
StreamExecutionEnvironment env = StreamExecutionEnvironment.getExecutionEnvironment();
DataStreamSource<Event> source = env.addSource(new ClickSource());
// 2. Definition host A list of
List<HttpHost> hostList = new ArrayList<>();
hostList.add(new HttpHost("175.178.154.194",9200));
// 3. Definition ES Sink Function
ElasticsearchSinkFunction<Event> elasticsearchSinkFunction = new ElasticsearchSinkFunction<Event>() {
// requestIndexer Of add Method to send a request Instead of the client
@Override
public void process(Event event, RuntimeContext runtimeContext, RequestIndexer requestIndexer) {
for (int i = 1; i <= 5 ; i++) {
IndexRequest request = new IndexRequest("clicks").id(String.valueOf(i));
request.source(JSONUtils.objectToJson(event), XContentType.JSON);
requestIndexer.add(request);
}
}
};
source.addSink(new ElasticsearchSink.Builder<>(hostList,elasticsearchSinkFunction).build());
env.execute();
}
}
8.5 Output to MySQL
Write data MySQL The test steps are as follows
(1) Add dependency
<dependency>
<groupId>org.apache.flink</groupId>
<artifactId>flink-connector-jdbc_${scala.binary.version}</artifactId>
<version>${flink.version}</version>
</dependency>
<dependency>
<groupId>mysql</groupId>
<artifactId>mysql-connector-java</artifactId>
<version>8.0.28</version>
</dependency>
(2) start-up MySQL, stay database Create table under warehouse clicks
mysql> create table clicks(
-> user varchar(20) not null,
-> url varchar(100) not null);
public class SinkToMySQL {
public static void main(String[] args) throws Exception {
// 1. Create an execution environment
StreamExecutionEnvironment env = StreamExecutionEnvironment.getExecutionEnvironment();
DataStreamSource<Event> source = env.addSource(new ClickSource());
source.addSink(JdbcSink.sink(
"insert into clicks(user,url) values(?,?)",
((preparedStatement, event) -> {
preparedStatement.setString(1,event.user);
preparedStatement.setString(2,event.url);
}),
new JdbcConnectionOptions.JdbcConnectionOptionsBuilder()
.withUrl("jdbc:mysql://175.178.154.194:3306/flink?serverTimezone=UTC&useUnicode=true&characterEncoding=utf-8")
.withDriverName("com.mysql.cj.jdbc.Driver")
.withUsername("root")
.withPassword("xxxx")
.build()
));
env.execute();
}
}
7. Rich function
“ Rich function classes ” It's also DataStream API Provides a function class interface , be-all Flink Function classes have their own Rich edition . Rich function classes generally appear in the form of abstract classes . for example :RichMapFunction、RichFilterFunction、RichReduceFunction etc.
since “ rich ”, Then it will certainly provide more than regular function classes 、 More functions . The main difference from conventional function classes is , Rich function classes can get the context of the running environment , And have some life cycle approaches , So more complex functions can be implemented
Rich Function There is a concept of life cycle . Typical life cycle approaches are :
open() Method , yes Rich Function Initialization method of , That is, it will start the life cycle of an operator . When the actual working method of an operator, such as map() perhaps filter() Before the method is called ,open() Will be called first . So like a file IO The creation of , Creation of database connection , Configuration file reading and other one-time work , Are suitable for open() Method
close() Method , Is the last method called in the life cycle , Similar to deconstruction . Generally used to do some cleaning work
1. Note that rich functions are abstract classes , It's not an interface , And there is more than one method in the class , So it can't be used Lambda expression , You can only write one class by yourself
2. Each parallel subtask will be executed once open、close
3. Rich functions and state programming are closely related
public class RichFunctionTest {
public static void main(String[] args) throws Exception {
// 1. Create an execution environment
StreamExecutionEnvironment env = StreamExecutionEnvironment.getExecutionEnvironment();
env.setParallelism(1);
// 2. Read from custom data source
DataStreamSource<Event> source = env.addSource(new ClickSource());
source.map(new MyRich()).setParallelism(2).print();
env.execute();
}
// about open and close A parallelism will be called once
public static class MyRich extends RichMapFunction<Event,String>{
@Override
public void open(Configuration parameters) throws Exception {
super.open(parameters);
System.out.println("open The lifecycle is called " + getRuntimeContext().getIndexOfThisSubtask());
}
@Override
public void close() throws Exception {
super.close();
System.out.println("close The lifecycle is called " + getRuntimeContext().getIndexOfThisSubtask());
}
@Override
public String map(Event event) throws Exception {
return event.getUrl();
}
}
}
8. Physical zoning
Sometimes , We also need to manually control the data partition allocation policy . For example, when data skew occurs , The system cannot automatically adjust , At this time, we need to re load balance , Send the data flow evenly to the downstream task operation partition .Flink After conversion DataStream, It provides a series of low-level operation interfaces , It can help us realize the manual repartition of data flow . For the same keyBy To distinguish , We collectively call these operations “ Physical zoning ” operation . Physical partition and keyBy Another big difference is ,keyBy Then you get a KeyedStream, After physical partition, the result is still DataStream, And the element data type in the stream remains unchanged . It can also be seen from this that , The partition operator does not convert the data , It just defines the transmission mode of data
Common physical partition strategies are random allocation (Random)、 Polling allocation (Round-Robin)、 Rescale (Rescale)
And broadcast (Broadcast), Next, let's learn about
1. Random partition (shuffle)
The simplest way to repartition is to “ Shuffle ”. By calling DataStream Of .shuffle() Method , Follow the data with
The parallel tasks of the downstream operators are allocated automatically

source.map(Event::getUser).shuffle().print().setParallelism(3);
map Operator parallelism 1, after shuffle after , Randomly divide the data into 3 A parallel print In operator
2. Polling partitions (Round-Robin)
Polling is also a common way to repartition . In a nutshell “ Licensing ”, Distribute the data in order , By calling DataStream Of .rebalance() Method , Polling repartition can be realized .rebalance It uses Round-Robin Load balancing algorithm , The input stream data can be evenly distributed to the downstream parallel tasks

source.map(Event::getUser).rebalance().print().setParallelism(3);
map Operator parallelism 1, after rebalance after , Polling divides data into 3 A parallel print In operator 
3. Rescale partition
Rescaling partitions is very similar to polling partitions . When calling rescale() When the method is used , In fact, the bottom layer is also used Round-Robin The algorithm performs polling , However, data polling will only be sent to part of the downstream parallel tasks , Pictured 5-11 Shown . in other words ,“ Dealer ” If there are more than one , that rebalance The way is that each dealer deals to everyone ; and rescale Our approach is to divide into small groups , A dealer only deals cards to everyone in his group in turn

4. radio broadcast (broadcast)
This method should not be called “ Repartition ”, Because after the broadcast , The data will be kept in different partitions , Repeated processing is possible . You can call DataStream Of broadcast() Method , Copy and send the input data to all parallel tasks of the downstream operator
5. Global partition (global)
Global partitioning is also a special way of partitioning . This approach is very extreme , By calling .global() Method , All input stream data will be sent to the first parallel subtask of the downstream operator . This is equivalent to forcing the parallelism of downstream tasks into 1, So use this operation with great caution , It may put a lot of pressure on the program
Custom partition
When Flink carry for Of the Yes branch District Strategy A little all No can full foot use Household Of Need to be seek when , I People can With through too send use partitionCustom() Method to customize the partition policy
In the call , Method needs to pass in two parameters , The first is the custom partition (Partitioner) object , The second is the field where the partition is applied , It is specified in the same way as keyBy Appoint key Is essentially the same : You can specify... By field name , You can also specify by field position index , You can also achieve a KeySelector
public class CustomPartition {
public static void main(String[] args) throws Exception {
StreamExecutionEnvironment env =
StreamExecutionEnvironment.getExecutionEnvironment();
env.setParallelism(1);
DataStreamSource<Event> source = env.addSource(new ClickSource());
source.partitionCustom(new Partitioner<String>() {
@Override
public int partition(String name, int i) {
if(name.length() == 3) return 0;
return 1;
}
}, new KeySelector<Event, String>() {
@Override
public String getKey(Event event) throws Exception {
return event.getUser(); // Partition by name
}
}).print().setParallelism(2);
env.execute();
}
}
Two . Time and window
1. Time semantics
1. The processing time Processing Time
The concept of processing time is very simple , It refers to the current system time of the machine executing the processing operation
2. Event time (Event Time) ( The core 、 important )
Event time , It refers to the time when each event occurs on the corresponding device , That is, once the data generation time data is generated , This time is naturally determined , So it can be embedded into the data as an attribute . This is actually the of this data record “ Time stamp ”(Timestamp)
2. Waterline

We want to count 8 spot -9 Point data , Who is the standard for the time of this window ? If the system time prevails , Here we are 9 Click this window to close , It's obviously unreasonable , Because of the delay , Some data may not be available in time 9 Enter the window before dot , But it is 9 What happened before o'clock
A simple idea is , Add a clock mark to the data stream , Record the current event time ; This flag can be broadcast directly downstream , When the downstream task receives this flag , You can update your clock . Because it is similar to the mark used for marking in water flow , stay Flink in , This is used to measure the time of events (Event Time) A sign of progress , It's called “ Waterline ”(Watermark)
Specific implementation , The water mark can be regarded as a special data record , It is a marker point inserted into the data stream , The main content is a timestamp , Used to indicate the current event time . And where it's inserted into the stream , It should be after the arrival of some data ; In this way, the timestamp can be extracted from this data , As the timestamp of the current water mark

The ordered flow is periodically inserted into the water line ( Understand , In practice, it is difficult to ensure order )
Practical application , If the current amount of data is very large , There may be many data with the same timestamp , At this time, the timestamp is extracted for each piece of data 、 Inserting the water mark does a lot of useless work . And even if the timestamp is different , At the same time, the time difference of incoming data will be very small ( Like a few milliseconds ), It often has no impact on processing and calculation . So in order to improve efficiency , Generally, a water mark will be generated every other period of time , The timestamp of this watermark , Is the timestamp of the latest data , Pictured , At this time, the water level , In fact, it is a periodic time mark in the ordered flow

Disordered water level line
What I'm talking about here “ Disorder ”(out-of-order), It refers to the inconsistent sequence of data , In the message queue, the data is out of order for some reason 
The solution is simple : When we insert a new watermark , First determine whether the timestamp is larger than the previous one , Otherwise, no new watermark will be generated , in other words , Only the timestamp of the data is larger than the current clock , To push the clock forward , Then the water mark is inserted

Considering the efficiency of processing a large amount of data at the same time , We can also generate watermarks periodically . At this time, you only need to save the maximum timestamp of all previous data , When you need to insert a watermark , Just use it as a time stamp to generate a new water mark

Water level setting delay ( important )
What happens if there is no delay
Upper figure , When 9 After the data generated in seconds arrives , We pushed the clock directly to 9 second ; If there is a window, the end time is 9 second ( such as , To statistics 0~9 All the data in seconds ), Then the window should close 、 Calculate and output all the collected data . But in fact , Because the data is out of order , There may also be a timestamp of 7 second 、8 Seconds of data in 9 Seconds of data before it comes , This is it. “ Late data ”(late data). They should also belong to 0~9 Second window , But now the window is closed , So these data are missing , This will lead to incorrect statistical results
How to set the delay
In order for the window to correctly collect late data , We can also wait for a while ( It doesn't take much time , It's usually milliseconds , Only a few seconds at most , such as 2 second ); That is, subtract... From the maximum timestamp of the current existing data 2 second , It's the timestamp of the water mark , In this case ,9 After seconds of data , The event clock does not advance directly to 9 second , But progress to 7 second ; We have to wait until 11 After seconds of data , The event clock will progress to 9 second , At this time, the late data have been collected ,0~9 The second window can calculate the result correctly 
Characteristics of water level line
Now we can know , The water mark represents the current event time clock , And you can add some delay based on the time stamp of the data to ensure that you don't lose data , This is very important for the correct handling of out of order flow
We can summarize the characteristics of the water mark :
- A watermark is a marker inserted into a data stream , It can be considered as a special data
- The main content of the watermark is a timestamp , Used to indicate the progress of the current event time
- The watermark is generated based on the timestamp of the data
- The timestamp of the watermark must be monotonically incremented , To ensure that the event time clock of the task keeps moving forward
- The waterline can be delayed by setting , To ensure the correct processing of out of order data
- A water mark Watermark(t), Indicates that the event time in the current stream has reached the timestamp t, This represents t All the previous data are here , After that, there will be no timestamp in the stream t’ ≤ t The data of
The code sets the watermark
stay Flink Of DataStream API in , Yes One individual single single use On raw become water position Line Of Law .assignTimestampsAndWatermarks(), It is mainly used to allocate time stamps to the data in the stream , And generate a watermark to indicate the time of the event :
public SingleOutputStreamOperator<T> assignTimestampsAndWatermarks( WatermarkStrategy<T> watermarkStrategy)
Is there a timestamp in the data , Why do you have to “ Distribute ” Well ? This is because the original timestamp is just a field written to the log data , If not, extract it and assign it explicitly ,Flink There is no way to know when the data is actually generated . Of course , Sometimes the data source itself provides timestamp information , For example, reading Kafka when , We can go from Kafka Get the timestamp directly from the data , There is no need to extract field assignments separately
了
.assignTimestampsAndWatermarks() Method needs to pass in a WatermarkStrategy As a parameter , This is it. the Predicate Of “ water position Line raw become Strategy A little ” . WatermarkStrategy in package contain 了 One individual “ when between stamp branch Gametophyte ”TimestampAssigner And a “ Watermark generator ”WatermarkGenerator
- TimestampAssigner: It is mainly responsible for extracting the timestamp from a field of the data element in the stream , And assign it to the element . The allocation of timestamps is the basis for generating watermarks
- WatermarkGenerator: Mainly responsible for... In the established way , Generate time stamp based on water level . stay WatermarkGenerator Interface , There are two main ways :onEvent() and onPeriodicEmit()
@Public
public interface WatermarkGenerator<T> {
void onEvent(T var1, long var2, WatermarkOutput var4);
void onPeriodicEmit(WatermarkOutput var1);
}
- onEvent: Every event ( data ) Methods that will be called when they arrive , Its parameters have the current event 、 Time stamp , And one that allows the water mark to be issued WatermarkOutput, You can do various operations based on events
- onPeriodicEmit: Methods called periodically , Can be WatermarkOutput Send out the water mark . The cycle time is the processing time , You can call the environment configuration .setAutoWatermarkInterval() Method to set , The default is 200ms
public class WaterMarkTest {
public static void main(String[] args) throws Exception {
StreamExecutionEnvironment env = StreamExecutionEnvironment.getExecutionEnvironment();
env.setParallelism(1);
env.getConfig().setAutoWatermarkInterval(100); // 100 Generate a water level in milliseconds
env.addSource(new ClickSource())
// Out of order WaterMark Generate
.assignTimestampsAndWatermarks(WatermarkStrategy
.<Event>forBoundedOutOfOrderness(Duration.ofSeconds(2)) // Delay 2 Seconds to ensure that the data is correct
.withTimestampAssigner(new SerializableTimestampAssigner<Event>() {
@Override // Time stamp extractor
public long extractTimestamp(Event event, long l) {
return event.getTimestamp();
}
})
);
env.execute();
}
}
summary
To make sure the data is correct , We set the water level , The watermark is actually a timestamp , To ensure that the data is within the window , We set the delay time , The real timestamp of the watermark is the timestamp in the data - Delay time - 1 , In milliseconds
The window is defined as closed in front and opened in back , If we need 8 Point to 9 Point data , In fact, it includes 8 Point data , barring 9 Point data , Suppose the delay time is 5 second , such 8 spot 0 branch 5 second 1ms When the data comes ,Flink The water mark is 8 spot , Start counting ,9 The water level corresponding to the point data is actually 8 spot 59 branch 55 second 999ms, The window will not be closed at this time , Because you have to wait for delayed data , When Flink The water mark is 8 spot 59 branch 59 second 999 In milliseconds , close window
Transmission of water level
If a task receives different watermarks from upstream parallel tasks , It indicates that the processing of each upstream partition is fast or slow , The progress is different. For example, two parallel subtasks upstream sent watermarks , One is 5 second , One is 7 second ; This means that the first parallel task has been processed 5 Seconds ago
All the data , The second parallel task is processed to 7 second . How can you determine your own clock at this time ? Of course, we should also use “ All the previous data have arrived ” As the standard . If we take a larger water line 7 Seconds as the current time , That means “7 The data of seconds ago has been processed ”, This is obviously not true —— The first upstream partition is processed to 5 second ,5~7 Seconds of data will keep sending ; And if the minimum water level 5 Seconds as the current clock will not have this problem , Because it is true that all upstream partitions have been processed , No more 5 The data from seconds ago . It reminds us of “ Barrel principle ”: All upstream parallel tasks are like wooden boards surrounded by wooden barrels , The shortest of them , Determines the water level in our bucket

3. window
Definition
The figure below , After we set the water level delay , The water level is 10 when ,11 12 The second data also came in , But they don't belong to 0 - 10 second
stay Flink in , The window is not actually a “ box ”, If the incoming data is framed, it can only enter this window . by comparison , We should understand the window as a “ bucket ”, stay Flink in , The window can cut the stream into multiple pieces of finite size “ bucket ”(bucket); Each data is distributed to the corresponding bucket , When the window end time is reached , Calculate and process the data collected in each bucket

Window classification
1. Classified by drive type
Time window Define the start of the window in time (start) And the end (end), So what is intercepted is the data of a certain period of time . When the end time is reached , The window no longer receives data , Trigger calculation output result , And close the window and destroy . So it can be said that the basic idea is “ Fixed point departure ”
Count window Intercept data based on the number of elements , When a fixed number is reached, the calculation is triggered and the window is closed . This is equivalent to limited seats 、“ The car is full ”, Whether to start or not has nothing to do with the time . Number of data intercepted per window , It's the size of the window

2. Classify according to the rules of window allocation data
Scroll the window It has a fixed size , It is a kind of data processing “ Slice evenly ” The way of division . There is no overlap between windows , There will be no interval , yes “ Head to tail ” The state of . If we create multiple windows , The movement of a window , It's like it's moving forward “ Roll ” equally . This is the simplest form of window , All the examples we mentioned before are scrolling windows . That's because scrolling windows is “ Seamless connection ”, So each data is assigned to a window , And will only belong to one window
Scrolling windows can be defined based on time , It can also be defined based on the number of data ; Only one parameter is required , It's the size of the window (window size). For example, we can define a length of 1 Hour scrolling time window , Then statistics will be carried out every hour ; Or define a length of 10 Scrolling count window for , Every time 10 Count the number once 
The sliding window It's also fixed in size . The difference lies in , Windows are not connected end to end , It can “ Stagger ” A certain position . If you think of it as the movement of a window , So it's like taking a small step forward “ slide ” equally . Since it's sliding forward , So how far does each step slip , It can also be controlled . So there are two parameters to define the sliding window : Remove window size (window size) outside , One more “ Sliding step ”(window slide), It actually represents the frequency of window calculation

We can see , Different from the first two windows , Session window Its length is not fixed , The start and end times are also uncertain , There is no correlation between the windows of each partition . There must be no overlap between session windows , And there will be at least size The interval of (session gap). In some scenarios like maintaining a conversation , The session window can often be used for data processing and statistics , The interval between two data is greater than gap, That is, open a new window

There is also a kind of general window , Namely “ Global window ”. This window is globally valid , Will put the same key All data of are assigned to the same window ; Let's be frank , It's like no window . The data of unbounded flow is endless , So this window doesn't end , Trigger calculation will not be done by default . If you want it to calculate and process the data , You also need to customize “ trigger ”(Trigger)

4. window API( a key )
4.1 Window classification
(1) Key partition window (Keyed Windows)
After the key partition keyBy After the operation , The data flow will follow key Divided into multiple logical flows (logical streams), This is it. KeyedStream. be based on KeyedStream During window operation , Window computing will be performed simultaneously on multiple parallel subtasks . identical key The data will be sent to the same parallel subtask , The window operation will be based on each key Do a separate treatment . So you can say , Every key A set of windows are defined on the , Carry out statistical calculation independently
stream.keyBy(...)
.window(...)
(2) Non key partition (Non-Keyed Windows)
If it doesn't work keyBy, So primitive DataStream It will not be divided into multiple logical flows . At this time, window logic can only be used in one task (task) On the implementation , It's equivalent to the parallelism becomes 1. Therefore, this method is generally not recommended in practical application . In the code , Based on the direct DataStream call .windowAll() define window
stream.windowAll(...)
What needs to be noted here is , For non key partition window operation , Manually increasing the parallelism of the window operator is also invalid ,windowAll Itself is a non parallel operation
4.2 Window composition
window = Window splitter + Window function
Window splitter (Window Assigners) Define the window allocator (Window Assigners) Is the first step in building the window operator , Its role is to define that data should be “ Distribute ” To which window
streamOperator.keyBy(Event::getUser)
.window(TumblingEventTimeWindows.of(Time.hours(1)));// Scroll the time window
streamOperator.keyBy(Event::getUser)
.window(SlidingEventTimeWindows.of(Time.hours(1),Time.minutes(10)));// Slide the time window
streamOperator.keyBy(Event::getUser)
.window(EventTimeSessionWindows.withGap(Time.minutes(1)));// Session time window
streamOperator.keyBy(Event::getUser)
.window(GlobalWindows.create());// Global window
streamOperator.keyBy(Event::getUser)
.countWindow(100); // Scroll the count window
streamOperator.keyBy(Event::getUser)
.countWindow(100,10); // Slide the count window
Window function
The window allocator only explains which window the data is allocated to , We also need window functions to process data

4.3 Window function - Incremental aggregate function
A typical incremental aggregate function has two :ReduceFunction and AggregateFunction
(1) Reduction function (ReduceFunction)
The state of intermediate aggregation and the result of output , Are the same as the input data type
public interface ReduceFunction<T> extends Function, Serializable {
T reduce(T var1, T var2) throws Exception;
}
The reduction function uses
stream.redcue(new MyRedcueFunction())
(2) Aggregate functions (AggregateFunction)
ReduceFunction It can solve most problems of reduction aggregation , But this interface has a limitation , Is the type of aggregation state 、 The output result must be of the same type as the input data . This forces us to... Before aggregation , First convert the data (map) Into the expected result type ; And in some cases , Further processing of the state is needed to get the output result , At this time, their types may be different , Use ReduceFunction It's going to be a lot of trouble
AggregateFunction It can be seen as ReduceFunction The general version of , There are three types of : Input type (IN)、 Accumulator type (ACC) And output type (OUT). Input type IN Is the data type of the element in the input stream ; Accumulator type ACC Is the intermediate state type we aggregate ; Of course, the output type is the type of the final calculation result
There are four methods in the interface :
createAccumulator(): Create an accumulator , This creates an initial state for aggregation , Each aggregation task will only be called once
add(): Add the input element to the accumulator . This is based on aggregate state , The process of further aggregating new data . Method passes in two parameters : Current new data value, And the current accumulator accumulator; Returns a new accumulator value , That is, update the aggregation status . This method will be called after each data arrival
getResult(): Extract the aggregated output from the accumulator . in other words , We can define multiple states , Then a result is calculated based on the state of these aggregations and output . For example, we mentioned earlier to calculate the average value , You can put the sum and count Put it into the accumulator as a state , When this method is called, the final result is obtained by dividing . This method is only called when the window wants to output the result
merge(): Merge two accumulators , And return the merged state as an accumulator . This method is only called in the case of merging windows ; The most common merge window (Merging Window) The scenario is the session window (Session Windows)
public interface AggregateFunction<IN, ACC, OUT> extends Function, Serializable
{
ACC createAccumulator();
ACC add(IN value, ACC accumulator);
OUT getResult(ACC accumulator);
ACC merge(ACC a, ACC b);
}
Aggregate functions use
stream.aggregate(new MyAggregateFunction())
4.4 Window function - Full window functions
Another big class of window operations is full window functions . Unlike incremental aggregate functions , The full window function needs to collect the data in the window first , And cache it internally , Wait until the window wants to output the results, and then take out the data for calculation . Obviously , This is a typical batch processing idea —— Save the data first , The processing process will not be officially started until a batch has arrived , Actually, it belongs to the class of processing functions
If used keyBy
ProcessWindowFunction<IN, OUT, KEY, W extends Window>
without key, use ProcessAllWindowFunction
ProcessAllWindowFunction<IN, OUT, W extends Window>
IN Input type
OUT The output type
KEY Type of grouping field
W Window type It's usually TimeWindow
4.5 Incremental functions + Full window functions ( Commonly used )
We were calling WindowedStream Of .reduce() and .aggregate() When the method is used , Just simply passed in a ReduceFunction or AggregateFunction Perform incremental aggregation . besides , In fact, you can also pass in the second parameter : A full window function , It can be WindowFunction( Generally do not use ) perhaps ProcessWindowFunction( More functions )
here ProcessWindowFunction The input of is the output of the incremental aggregate function
5. Other windows API
5.1 trigger
Trigger is mainly used to control when the window triggers calculation . So-called “ Trigger calculation ”, In essence, it is to execute window functions , Therefore, it can be considered as the process of calculating and outputting the results
be based on WindowedStream call .trigger() Method , You can pass in a custom window trigger (Trigger)
stream.keyBy(...)
.window(...)
.trigger(new MyTrigger())
.process(new xxx)
Trigger Is an abstract class , When customizing, you must implement the following four abstract methods :
- onElement(): Every element in the window , Will call this method
- onEventTime(): When the registered event time timer is triggered , This method will be called
- onProcessingTime (): When the registered processing time timer is triggered , This method will be called
- clear(): When the window closes, destroy , Call this method . It is generally used to clear custom status
The first three methods above can respond to events , How do they relate to window operations ? This requires understanding their return values . The return types of these three methods are TriggerResult, This is an enumeration type (enum), Four types of window operations are defined
- CONTINUE( continue ): Don't do anything?
- FIRE( Trigger ): Trigger calculation , Output results
- PURGE( eliminate ): Clear all data in the window , Destruction of the window
- FIRE_AND_PURGE( Trigger and clear ): Trigger calculation output result , And clear the window
5.2 Remover (Evictor)
The remover is mainly used to define the logic of removing some data . be based on WindowedStream call .evictor() Method , You can pass in a custom remover (Evictor).Evictor It's an interface , Different window types have their own pre implemented removers
stream.keyBy(...)
.window(...)
.evictor(new MyEvictor())
Evictor Interface defines two methods :
- evictBefore(): Define the operation of removing data before executing the window function
- evictAfter(): Define the data operation after executing the window function
By default , The pre implemented removers are all executing window functions (window fucntions) Previously removed data
6. Delay data processing ( Triple guarantee )
The first guarantee - Water level delay
The second guarantee - Window delay does not close
In the event time semantics , Data lateness may occur in the window . This is because in a disordered stream , Waterline (watermark) There is no guarantee that all data with earlier timestamps will not come back . When the water mark has reached the window end time , The window triggers the calculation and outputs the result , At this time, the window is usually destroyed ; If the window closes , And the data that belongs to the window comes late , It will be discarded by default
But in most cases , Directly discarding data will also lead to inaccurate statistical results . To solve the problem of late data ,Flink Provides a special interface , You can set a window operator “ The maximum delay allowed ”(Allowed Lateness). in other words , We can set the allowable delay for a period of time , In the meantime , Windows will not be destroyed , The incoming data can still enter the window and trigger the calculation . Until the waterline advances to the end of the window + Delay time , To really empty the contents of the window , Officially close the window
be based on WindowedStream call .allowedLateness() Method , Pass in a Time Type of delay time , It can represent the delay data allowed in this period of time
stream.keyBy(...)
.window(TumblingEventTimeWindows.of(Time.mintues(1)))
.allowedLateness(Time.minutes(1))
For example, in the code above , We defined 1 Hour scrolling window , And set the allowed 1 Minute delay data . in other words , Without considering the delay of water level , about 8 spot ~9 Point window , It was supposed to be the waterline reaching 9 It triggers the calculation and closes the window ; Delay is now allowed 1 minute , that 9 Just trigger a calculation and output the result , It doesn't close the window . Subsequent arrival data , As long as it belongs to 8 spot ~9 Point window , It can still be superimposed on the basis of previous statistics , And output an updated result again . Until the water level reaches 9 Zero 1 branch , At this time, it is really empty 、 close window , Later, the late data will be discarded
The third guarantee - Side output stream
It's natural for us to think , Even if you can set the delay time of the window , In the end, it is still limited , Subsequent data will still be discarded . If you don't want to discard any data , How to do it ?
Flink It also provides another way to process late data . We can put the late data that is not included in the window , Put in “ Side output stream ”(side output) Do something else . The so-called side output stream , It is equivalent to a of data flow “ Branch ”, Separate the cars that missed the time in this stream 、 Data that should have been discarded . be based on WindowedStream call .sideOutputLateData() Method , You can do this . Method needs to pass in a “ Output label ”(OutputTag), Late data flow used to mark branches . Because what is saved is the original data in the stream , therefore OutputTag The type of is the same as the data type in the stream
In specific application , As long as you're dealing with .processElement() perhaps .onTimer() In the method , Call context .output() The method is ok
here output() Method needs to pass in two parameters , The first one is a “ Output label ”OutputTag, Used to identify the side output stream , Generally, it will be uniformly declared externally ; The second is the data to be output
We can put... On the outside first OutputTag Make a statement :
OutputTag<String> outputTag = new OutputTag<String>("side-output") {
};
If you want to get this side output stream , Can be based on... After processing DataStream Call directly .getSideOutput() Method , Pass in the corresponding OutputTag, This method is similar to the window API The output stream on the acquisition side is exactly the same
DataStream<String> stringStream = longStream.getSideOutput(outputTag);
Case study ( important , Understand the three guarantees )
Window calculation triggers 、 Windows are closed by Flink Determined by the water level , The calculated data is the real data that meets the time conditions , For example, I set the water level delay 2 second , that 0-22 Seconds is the time to collect the first window data , Because some data are 0-20 You may not get in within seconds , So wait more 2 second , Ensure that the event time is 0-20 Seconds have entered the window , But wait more 2 Second maybe 21 second 、21.6 The second data may also have come in , No problem ,Flink The window of is divided into buckets , When we calculate, redundant data will not be calculated , Still calculate 0-20 Second data !
Here's the code , The function is to count how many times different pages in a window have been visited , We mainly care about how the three guarantees work
We set up one 20 Second scrolling window , And the water level is delayed 2 second , And allow window delay 5 Seconds off , Moreover, the side output stream is also set to process the data that has been delayed for too long
Read here , We should know
1. What data will be considered as the data of the first window ?( The following is from 1970 The millisecond unit at the beginning of the year )
The time stamp is on 0-20000 The data in will be the first window , Include 0, But does not include 20000, Because the definition of a window is closed in front and opened behind !!!
Empathy , The time stamp is on 20000 - 40000 The data will be in the second 20 Second window
40000 - 60000 In the third 20 Second window
…
But only 22000 After the arrival of the data , The first window will be calculated , because 22000 The corresponding waterline is 20 second
2. How long will the window last ?
27 After the second data comes , The first window closes , Because at this time Flink The waterline of is 25 second = Window itself 20 second + Allow delay 5 second
in other words , as long as 27 Second data and subsequent data do not come , And the data timestamp is 0-20000 All data will be regarded as the first window , And continue to calculate , If 27 Here comes the second data , Then the first window closes , If you come again 0-20000 The data will enter the side output stream
Empathy ,47 When the second data comes , The second window closes
public class LateDataTest {
public static void main(String[] args) throws Exception {
// 1. Create an execution environment
StreamExecutionEnvironment env = StreamExecutionEnvironment.getExecutionEnvironment();
env.setParallelism(1);
env.getConfig().setAutoWatermarkInterval(100); // 100 Generate a water level in milliseconds
SingleOutputStreamOperator<Event> streamOperator = env.socketTextStream("175.178.154.194", 7777)
.map(str -> {
String[] strs = str.split(" ");
return new Event(strs[0], strs[1], Long.valueOf(strs[2]), Long.valueOf(strs[3]));
})
.assignTimestampsAndWatermarks(WatermarkStrategy
.<Event>forBoundedOutOfOrderness(Duration.ofSeconds(2)) // The first guarantee Delay 2 Seconds to ensure that the data is correct
.withTimestampAssigner(new SerializableTimestampAssigner<Event>() {
@Override // Time stamp extractor
public long extractTimestamp(Event event, long l) {
return event.getTimestamp();
}
})
);
streamOperator.print("input: ");
// Define an output label
OutputTag<Event> late = new OutputTag<Event>("late"){
};
SingleOutputStreamOperator<String> res = streamOperator.keyBy(Event::getUrl)
.window(TumblingEventTimeWindows.of(Time.seconds(20)))
.allowedLateness(Time.seconds(5)) // The second guarantee Window delay 5 second
.sideOutputLateData(late) // The third guarantee Side output stream
.aggregate(new UrlCount.MyAgg(), new UrlCount.MyProcessFunction());
res.print("result: ");
res.getSideOutput(late).print("late: ");
env.execute();
}
}

First, the data of the first window 0-20 second ( barring 20 second ), You can see that only the first three data meet the conditions , And only the water level reaches 20 second ( That is, the event time is 22 When the second data comes ), Triggered the calculation , But the window is not closed at this time

When 27 Seconds after the data arrives , That is, the time of the water level is 25 seconds , The first window closes , At this time, enter the data belonging to the first window , It will enter the side input stream
7. About windows 、 Water level delay 、 Window delay 、 Side output stream summary
1. The data we calculate must be within our specified time range , For example, scrolling window settings 1 Hours , that 8 spot -9 The data of points must be in this window , And there will be no other time data in this window , because Flink The window of is divided into buckets
2. To ensure the arrival of delayed data , We can delay the waterline , Wait a little longer to make sure 8-9 The data of points are all here
Watermark timestamp = Actual event time - Waterline delay time - 1 ( In milliseconds ). Window trigger calculation 、 Window closing time is driven by water level
3. In order to ensure the arrival of delayed data , We allow windows to close late , That is, you can set another window closing time
Window closing time = Window normal time + Window delay closing time , It has nothing to do with the delay time of the water level
4. As long as the window is reached, the trigger time is calculated and the window is not closed , The incoming data immediately triggers the calculation
5. When the window is closed , Then the data belonging to the closed window , Only the side output stream can be entered
边栏推荐
- Valgrind
- Application of generator mode
- 伦敦银规则有哪一些?
- Registration form practical skills [continuous update]
- I think software project management
- mosquitto. H learning
- Reading a data driven graph generic model for temporary interaction networks
- Installation method of memory module on dual channel (Dual CPU) server motherboard
- Flink(七)Flink SQL
- Course design of traffic light single chip microcomputer
猜你喜欢
随机推荐
生成器模式的应用
SQLyog无操作一段时间后重新操作会卡死问题(解决办法)
JVM briefly introduces GC garbage collection mechanism
(manual) [sqli labs42, 43] post injection, stack injection, error echo, character injection
The relationship between loss function and maximum likelihood estimation | understanding of cross entropy
Deployment practice of skywalking test environment
计算除去部门最高工资,和最低工资的平均工资(字节跳动面试)
Burning firmware of Hongmeng openharmony system for rk3568 development board
Ping message and ICMP message header
How does wechat applet realize pull-down refresh?
Experiment 3 servlet related technology
伦敦银规则有哪一些?
Pytorch分布式训练
LCD1602 display key position
低代码渲染那些事
Application of singleton mode
[development tutorial 6] crazy shell · open source Bluetooth smart health watch - touch
剑指 Offer 64. 求 1 + 2 + … + n
OLED circularly displays picture text
子集和问题






![[unity3d] toggle of ugui](/img/f4/247ad2ec3d64b960725e1a1deed1bb.png)


