当前位置:网站首页>【论文笔记】VOLO: Vision Outlooker for Visual Recognition
【论文笔记】VOLO: Vision Outlooker for Visual Recognition
2022-07-17 02:30:00 【m0_61899108】
论文

论文题目:VOLO: Vision Outlooker for Visual Recognition
论文地址:[2106.13112] VOLO: Vision Outlooker for Visual Recognition (arxiv.org)
项目地址:[2106.13112] VOLO: Vision Outlooker for Visual Recognition (github.com)
博客转载:[PaperRead]VOLO: Vision Outlooker for Visual Recognition - 掘金
摘要
- 视觉识别任务已被CNN主宰多年。基于自注意力的ViT在ImageNet分类方面表现出了极大的潜力,在没有额外数据前提下,Transformer的性能与最先进的CNN模型仍具有差距。在这项工作中,我们的目标是缩小这两者之间的性能差距,并且证明了基于注意力的模型确实能够比CNN表现更好。
- 与此同时,我们发现限制ViTs在ImageNet分类中的性能的主要因素是其在将细粒度级别的特征编码乘Token表示过程中比较低效,为了解决这个问题,我们引入了一种新的outlook注意力,并提出了一个简单而通用的架构,称为Vision outlooker (VOLO)。outlook注意力主要将fine-level级别的特征和上下文信息更高效地编码到token表示中,这些token对识别性能至关重要,但往往被自注意力所忽视。
- 实验表明,在不使用任何额外训练数据的情况下,VOLO在ImageNet-1K1K1K分类任务上达到了87.1%的top-1准确率,这是第一个超过87%的模型。此外,预训练好的VOLO模型还可以很好地迁移到下游任务,如语义分割。我们在Cityscapes验证集上获得了84.3% mIoU,在ADE20K验证集上获得了54.3%的mIoU,均创下了最新记录。


总结:本文提出了一种新型的注意力机制——Outlook Attention,与粗略建模全局长距离关系的Self Attention不同,Outlook能在邻域上更精细地编码领域特征,弥补了Self Attention对更精细特征编码的不足。
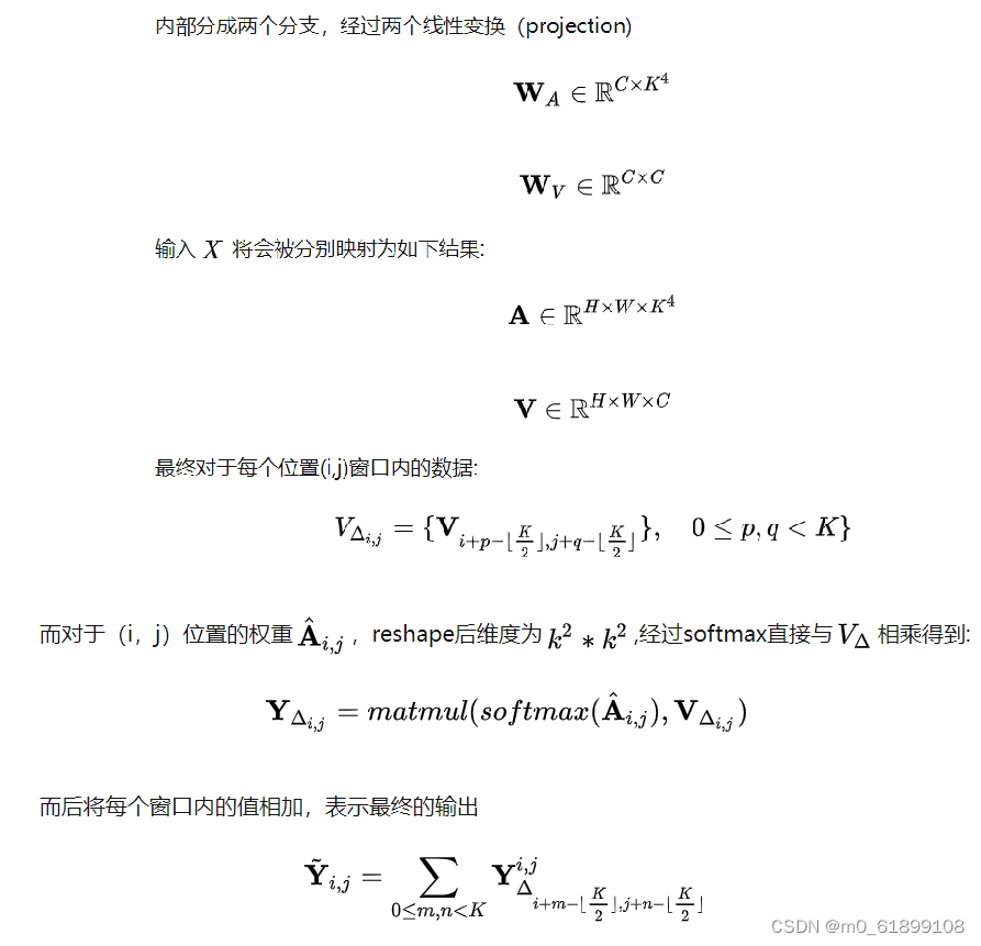
OutLooker Attention
OutLooker模块可视作拥有两个独立阶段的结构,第一个部分包含一堆OutLooker用于生成精细化的表示(Token representations),第二个部分部署一系列的转换器来聚合全局信息。在每个部分之前,都有块嵌入模块(patch embedding module)将输入映射到指定形状。
理论和形式:
OutLooker的提出主要基于以下两点:
- 每个空间位置的特征都具有足够的代表性,可以生成聚集了局部邻近信息的注意力权重
- 密集的局部空间聚合信息可以有效地编码精细层次的信息

方法
架构

从上图我们可以很容易得到,整个过程分为两条路线


流程:

整个过程的代码如下所示:

class OutlookAttention(nn.Module):
"""
Implementation of outlook attention
--dim: hidden dim
--num_heads: number of heads
--kernel_size: kernel size in each window for outlook attention
return: token features after outlook attention
"""
def __init__(self, dim, num_heads, kernel_size=3, padding=1, stride=1,
qkv_bias=False, qk_scale=None, attn_drop=0., proj_drop=0.):
super().__init__()
head_dim = dim // num_heads
self.num_heads = num_heads
self.kernel_size = kernel_size
self.padding = padding
self.stride = stride
self.scale = qk_scale or head_dim**-0.5
self.v = nn.Linear(dim, dim, bias=qkv_bias)
self.attn = nn.Linear(dim, kernel_size**4 * num_heads)
self.attn_drop = nn.Dropout(attn_drop)
self.proj = nn.Linear(dim, dim)
self.proj_drop = nn.Dropout(proj_drop)
self.unfold = nn.Unfold(kernel_size=kernel_size, padding=padding, stride=stride)
self.pool = nn.AvgPool2d(kernel_size=stride, stride=stride, ceil_mode=True) # stride的实现可能靠pool
def forward(self, x):
B, H, W, C = x.shape
v = self.v(x).permute(0, 3, 1, 2) # B, H, W, C ->B, C, H, w
h, w = math.ceil(H / self.stride), math.ceil(W / self.stride)
v = self.unfold(v).reshape(B, self.num_heads, C // self.num_heads,
self.kernel_size * self.kernel_size,
h * w).permute(0, 1, 4, 3, 2) # B, N, C//N, K*K, H*W->B, N, H*W, K*K, C//N
attn = self.pool(x.permute(0, 3, 1, 2)).permute(0, 2, 3, 1)
attn = self.attn(attn).reshape(
B, h * w, self.num_heads, self.kernel_size * self.kernel_size,
self.kernel_size * self.kernel_size).permute(0, 2, 1, 3, 4) # B,H,N,kxk,kxk
attn = attn * self.scale
attn = attn.softmax(dim=-1)
attn = self.attn_drop(attn)
x = (attn @ v).permute(0, 1, 4, 3, 2).reshape(
B, C * self.kernel_size * self.kernel_size, h * w)
x = F.fold(x, output_size=(H, W), kernel_size=self.kernel_size,
padding=self.padding, stride=self.stride)
x = self.proj(x.permute(0, 2, 3, 1))
x = self.proj_drop(x)
return x
多头机制的实现

Patch Embedding
Patch Embedding最初应该是源于ViT,类似于池化,通过卷积的线性变换将特征图中的一小块(patch)进行映射,最终实现一种下采样的效果。
不同与池化的粗暴,Patch Embedding能一定程度上保留信息,扩大感受野。
同时,可以减少后续模块的计算量。
其实现方法通过控制卷积核大小和步长来实现,VOLO实现的代码如下
class PatchEmbed(nn.Module):
"""
Image to Patch Embedding.
Different with ViT use 1 conv layer, we use 4 conv layers to do patch embedding
"""
def __init__(self, img_size=224, stem_conv=False, stem_stride=1,
patch_size=8, in_chans=3, hidden_dim=64, embed_dim=384):
super().__init__()
assert patch_size in [4, 8, 16]
self.stem_conv = stem_conv
if stem_conv:
self.conv = nn.Sequential(
nn.Conv2d(in_chans, hidden_dim, kernel_size=7, stride=stem_stride,
padding=3, bias=False), # 112x112
nn.BatchNorm2d(hidden_dim),
nn.ReLU(inplace=True),
nn.Conv2d(hidden_dim, hidden_dim, kernel_size=3, stride=1,
padding=1, bias=False), # 112x112
nn.BatchNorm2d(hidden_dim),
nn.ReLU(inplace=True),
nn.Conv2d(hidden_dim, hidden_dim, kernel_size=3, stride=1,
padding=1, bias=False), # 112x112
nn.BatchNorm2d(hidden_dim),
nn.ReLU(inplace=True),
)
self.proj = nn.Conv2d(hidden_dim,
embed_dim,
kernel_size=patch_size // stem_stride,
stride=patch_size // stem_stride)
self.num_patches = (img_size // patch_size) * (img_size // patch_size)
def forward(self, x):
if self.stem_conv:
x = self.conv(x)
x = self.proj(x) # B, C, H, W
return x
不同与ViT使用一层卷积进行嵌入,本文使用四层,前三层提取一定的特征,最后一层将整张feature map分为patch_size个部分,形状变为patch_size×patch_size
Patch Embedding在此起着关键的作用,其不但降低了注意力模块所需的计算量,其次,能够在一定程度上起到聚合临近信息的作用,因为Outlook Attentio的生成是仅仅在通道上使用线性转换,其感受野实际上为1,Patch Embedding使得感受野大大增加,虽然Outlook Attention只是注意中心像素几个邻近像素,但是其在原图上的感受野十分大。
当然,在ValueGeneration中也得到了局部邻近信息的聚合。
网络结构

Attention

实验结果


图像分类

语义分割


其他
实际上这篇论文与Involution: Inverting the Inherence of Convolution for Visual Recognition十分相似,在Involution一文中,提出了更为广泛的方法,本文可以看作是Involution的一种实例
对于这个情况,作者是如此回应的:

边栏推荐
- 动态管理内存的通讯录实现
- Ouvrir le cvsharp d'ai pour trouver une petite image (version de cas)
- NIM boben problem
- Thinkphp5.0 model operation uses page for paging
- MySQL create project R & D account
- 【LeetCode】735. 行星碰撞
- Properties of Gaussian distribution (including code)
- Vision Transformer(1):Self-attention Multi-head Self-attention
- Pinhole minimally invasive gingival surgery (pinhole gum rejuvenation)
- 数学建模学习(67):XGBoost分类模型详细入门案例教程
猜你喜欢
随机推荐
Masked treatment
ClickHouse 中的公共表表达式 CTE
Doris学习笔记之查询
Artifact website directories are all websites that are just needed and easy to use
Group convolution
Hcip Experiment 5
Matlab绘制激活函数sigmoid,Relu
电脑绘画软件哪个好用:试试Artweaver Plus吧,媲美sai绘画软件 | 最新版本的artweaver下载
Sparkcore core design: RDD, 220716,
剑指 Offer 60. n个骰子的点数
【LeetCode】745. Prefix and suffix search
TS的使用案例——贪吃蛇
MySQL addition, deletion, query and modification (basic)
Web semantics (emphasis tag EM italic) (emphasis tag strong bold) (custom list: DL, DT, DD)
KlakNdI 同步画面简单使用
STM32串口发送和接收多个数据教程基于气体传感器实战
HCIP第六天笔记
Number of supported question banks and examination question banks of swiftui examination question bank project (tutorial includes source code)
[C语言勘误]数组长度的函数内获取方式错误
Branches and tools of Orthodontics









