当前位置:网站首页>06.01 binary tree storage
06.01 binary tree storage
2022-07-18 17:40:00 【zzyzxb】
One : Overview of knowledge points
Trees (Tree) yes n(n≥0) A finite set of nodes , When n=0 when , It's an empty tree ;n>0 when , Is a non empty tree . Any non empty tree , Satisfy :
1) There is only one node called root ;
2) Except for the root node, the other nodes can be divided into m(m>0) A finite set that doesn't intersect each other T1, T2, …, Tm, Each of these sets is itself a tree , And called the root of the subtree (SubTree).









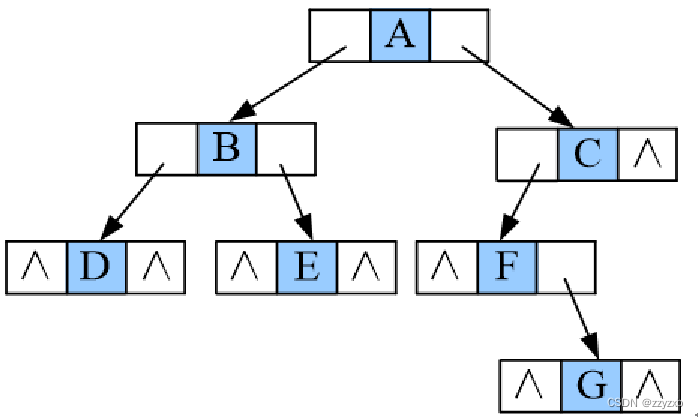
It adopts two forms of sequential storage and chain storage .









Binary tree (Binary Tree) yes n(n≥0) A collection of nodes , It may be an empty tree (n=0); Or a non empty tree . For non empty trees T Satisfy :
1) There is and only one node called root ;
2) Except for the root node , The other nodes are divided into two disjoint subsets T1 and T2, Known as T The left and right subtrees of , And T1 and T2 Itself is a binary tree .












边栏推荐
- 美国压力激增 TikTok更换全球安全主管
- PostgreSQL source code (8) xlog initialization
- One week's wonderful content sharing (issue 12) repetition
- 糖尿病遗传风险检测挑战赛-Coggle 30 Days of ML
- 天逸BEYOND中改预售15.77万起售 毛创新:产品力绝对在第一阵营
- I'm back
- The United States claimed that it did not "block" Russian agricultural products. Russian lawmakers criticized the United States as the "initiator" of the crisis
- Win11过滤错误日志的设置方法
- 污水排放监控,环保数采仪助力城市黑臭水体治理
- [论文阅读] Multi-task Attention-Based Semi-supervised Learning for Medical Image Segmentation
猜你喜欢

如何解决8080端口被占用

js base64转图片

Shengxin weekly issue 36

"Wild pointer" and Dachang classic dynamic memory error written test questions

Vim使用学习以及ideaVim(持续补充)

HCIA-R&S自用笔记(9)数据转发过程、单播/多播/组播

HCIA-R&S自用笔记(7)(网络层)TTL及环路测试,协议号

An excellent graphical tool for information collection maltego

多叉树--->B树和B+树
![[paper reading] multi task attention based semi supervised learning for medical image segmentation](/img/5d/52cc0fb857d088761e4232c6867ffb.png)
[paper reading] multi task attention based semi supervised learning for medical image segmentation
随机推荐
uniapp video 视频未播放完成禁止拖拽进度条快进
生信周刊第36期
支付宝沙箱测试手机网站支付,提示商户合作协议已到期,无法继续使用
“四朵云”的较量
Etcd database source code analysis -- etcdserver bootstrap initialization cluster and raft
渗透测试工具 - msf生成后门免杀
About the problem that the valueint of cjson exceeds the integer range
Shengxin weekly issue 36
Flink1.7从安装到体验
网络原理之TCP/IP协议
The exit relationship between the main thread and the sub thread of the main process
Introduction to leetcode special dynamic planning
TypeScript 类的使用
从物理转 AI 、战数据库,95后程序员的职业选择
Scope and constructor details
【论文阅读】Deep Transformer Q-Networks for Partially Observable Reinforcement Learning
How to count the data in the game
五 其它目标和通用选项的介绍
PostgreSQL source code (7) xlog format
Interviewer: why does redis need sentinels? How should I answer?