当前位置:网站首页>[phase locked loop] design and Simulation of all digital phase locked loop based on MATLAB

[phase locked loop] design and Simulation of all digital phase locked loop based on MATLAB

2022-07-18 13:47:00 FPGA and MATLAB

1. Software version

matlab2013b

2. system implementation

        Working principle of all digital phase locked loop : The input signal of the loop is usually a continuous signal in time , Such as single frequency sine wave 、 Analog FM signal or frequency shift keying signal, etc . The output signal of the loop , That is, the output signal of the digitally controlled oscillator is a periodic pulse sequence , Its period is adjustable and controlled by the output signal of the digital filter . The input signal and the output signal of the NC oscillator are added to the input of the sampling phase detector . In the detector , The input signal is sampled by the output pulse sequence of the NC oscillator , Detect the phase difference between the pulse sequence and the input signal , And convert it into digital signal as the output signal of the detector . The signal is filtered by digital filter and used as the control signal of NC oscillator , Change the period of the NC oscillator , Realize the correction of phase difference .
Compared with analog PLL , All digital phase locked loop has the following characteristics :
(1) All adopt digital circuit . Because the active devices in digital circuits work in two working states of on and off , It is less affected by interference than analog circuit , Improve the reliability of work . in addition , Digital circuits are easy to integrate .
(2) In digital phase locked loop , The clock source is usually not directly controlled , Different from the VCO in the analog phase-locked loop, it is directly controlled by the error signal , This will help to improve the performance of the loop . Apply digital phase locked loop , In a certain range, the nonlinearity similar to the characteristics of voltage controlled oscillator in analog phase-locked loop can be eliminated 、 The unstable transmission function of the loop , So as to improve the performance of PLL . All digital phase locked loop has become an all digital coherent communication system 、 The core component of tracking receiver and frequency synthesizer , Increasingly more widely used .

The overall process of the system is shown in the figure below :

Every part of the all digital PLL is digital , Including digital phase detector , Digital loop filter , Digitally controlled oscillator . The basic structure of the sending end of the system : Its structure is as follows :

        Two signals (I For all the way up ,Q For the next way ) After passing the low-pass shaping filter, it is connected with cos,sin Multiplication completes the modulation of the system , Then add the two modulated signals to complete mixing , Send it out .

 

The structure of the receiving end is as follows : 

 

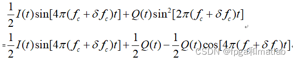
I Channel signal and Q The channel signals are  

The frequency offset signal existing in the system can be resolved into : 

The demodulation signal is : 

You can get the signal  :

3. Core program

MATLAB Code design description

This part is the sending part mentioned above , That is, a modulated signal is generated ,

This is the PLL part , For details, please refer to its basic structure for comparison ...

clc;
clear;
close all;

len=1000;  


N=len;
Spll=zeros(len,1);       % Data after PLL locking and stabilization 
NCO = zeros(len,1);      % Locked phase 
Discriminator_Out=zeros(len,1);
Freq_Control=zeros(len,1);
PLL_out2=zeros(len,1);   % PLL frequency 
PLL_out=zeros(len,1);    % Phase locked loop phase 

I_Data=randint(N,1)*2-1;
Q_Data=randint(N,1)*2-1;
%QPSK Signal source 
s=I_Data + j*Q_Data;
fs=2400;                    % Sampling rate 
fdelta=-40;                 % frequency offset 
Time_Sample=1/fs;           % Duration of each sample value 
Delta_Phase=rand(1)*2*pi;   % Initial phase 
sin_cos=exp(j*(fdelta/fs*(1:len)+Delta_Phase));  % carrier 

% modulation 
r=s.*sin_cos'; %r=Icos+Qsin 

% Loop processing 
C1=0.022;  
C2=0.00024;

for i=2:N
    Spll(i)=r(i)*exp(-j*mod(NCO(i-1),2*pi));         % Input of error calculation module 
    I_PLL(i)=real(Spll(i));                          % Error calculation module I Road input information data 
    Q_PLL(i)=imag(Spll(i));                          % Error calculation module Q Road input information data 
    Discriminator_Out(i)=(sign(I_PLL(i))*Q_PLL(i)-sign(Q_PLL(i))*I_PLL(i))/(sqrt(2)*abs(Spll(i)));   % Output of error calculation module 
    
    PLL_out2(i)=Discriminator_Out(i)*C1;             % The output of the error calculation module enters the loop filter loop filter processing 
    Freq_Control(i)=PLL_out2(i)+PLL_out(i-1);
    PLL_out(i)=Discriminator_Out(i)*C2+PLL_out(i-1);
    NCO(i)=NCO(i-1)+Freq_Control(i);                 % Phase adjustment 
end




figure(1)
subplot(211)
plot(-PLL_out(2:len)*fs);
grid on;
title(' PLL frequency response curve ');
axis([1 len -100 100]);

subplot(212)
plot(PLL_out2(2:len)*180/pi);
title(' Phase response curve of PLL ');
axis([1 len -2 2]);
grid on;

 
figure(2)

subplot(2,2,1)
plot(I_Data(500:550));
grid on;
title('I Road information data ');
axis([1,50,-2,2]);

subplot(2,2,2)
plot(Q_Data(500:550));
grid on;
title('Q Road information data ');
axis([1,50,-2,2]);


subplot(2,2,3)
plot(I_PLL(500:550));
grid on;
title(' PLL output I Road information data , Note that phase ambiguity may occur , That is, pour PI The phenomenon ');
axis([1,50,-2,2]);

subplot(2,2,4)
plot(Q_PLL(500:550));
grid on;
title(' PLL output Q Road information data , Note that phase ambiguity may occur , That is, pour PI The phenomenon ');
axis([1,50,-2,2]);

4. Simulation results

A15-01

原网站

版权声明
本文为[FPGA and MATLAB]所创,转载请带上原文链接,感谢
https://yzsam.com/2022/199/202207160418250865.html