当前位置:网站首页>iFair: Learning Individually Fair Data Representations for Algorithmic Decision Making
iFair: Learning Individually Fair Data Representations for Algorithmic Decision Making
2022-07-17 00:10:00 【肉嘟嘟的zhu】
题目:学习用于算法决策的个别公平数据表示
论文介绍了一种将用户记录概率映射为低秩表示的方法,该方法在下游应用中协调了个体的公平性和分类器和排名的效用。通过定义一个组合损失函数来学习低秩数据表示,该工作解决了效用和公平之间的基本权衡。作者通过将他们的方法应用于各种真实数据集上的分类和学习到排名任务,证明了他们的方法的通用性。他们的实验表明,与此设置的最佳前期工作相比,有实质性的改进。(低秩:矩阵的秩较低,eg:r=1)
研究背景:一般情况下考虑的群体公平,那么个人公平和准确性之间的权衡成为了需要解决的问题。此时,提出损失函数来解决。
研究方法:将个体映射到一个输入空间,该输入空间独立于特定的受保护的子组。定义映射函数,将公平性损失和精确度损失的和表示为目标函数。这种研究方法称为iFair框架。
个人公平的表示和计算:当含有所有属性的两个用户记录xi和xj之间的距离与不含敏感属性的两个记录之间的差值小于等于阈值时,表示这两个用户记录是存在个人公平的。


转换映射表示为:其中,U表示之前记录的概率分布,V表示原型向量。


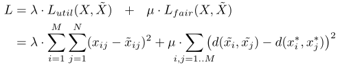
损失函数包括数据损失和公平性损失:


目标函数:



实验:5个数据集
| 数据集 | 受保护属性 | 输出 | 实例数 |
| ProPublica’s COMPAS | race | 再犯罪? | |
| Census Income | gender | 收入>50K? | 48842 |
| German Credit | age | 信用价值? | 1000 |
| Airbnb | gender | 房屋评级/价格? | 27597 |
| gender | 求职推荐排名? |
作者随机地将数据集分成三部分。使用一部分训练模型来学习模型参数,第二部分作为验证集,通过执行网格搜索来选择超参数(细节见下文),第三部分作为测试集。论文中使用相同的数据分割来比较所有的方法,一共有6种方法。
| 方法 | Full Data | Masked Data | SVD | LFR | FA*IR(排序) | iFair |
| 所用数据集 | the original dataset | the original dataset without protected attributes | full data/masked data | the learned representation | the representation learned by our model |
评估指标是个人公平性(yNN)和精确度(ACC)

实验表明,一般情况下iFair的效果要优于其他几种方法。
总结:我们的方法包含两个重要的标准。首先,我们从应用程序无关的角度来看待公平性,这允许我们将它合并到各种各样的任务中,包括通用分类器和用于学习到排名的回归。其次,我们将个人公平视为数据集的属性(在某种意义上,就像隐私),这可以通过将数据预处理为转换后的表示来实现。这个阶段不需要访问受保护的属性。如果需要的话,我们还可以对学习的表示进行后处理,并执行群体公平标准,比如统计等值性。
我们将该模型应用于五个真实数据集,证明效用和个人公平可以在很大程度上协调。将分类器和回归模型应用到iFair表示中,得到的算法决策比在原始数据上做出的决策更加一致。我们的方法是第一个在学习排序任务中单独计算公平结果的方法。对于分类任务,它的性能优于现有的先进工作。
边栏推荐
猜你喜欢

Redis 高可用原理

Xcode11添加引导页(升级后Launch Images Source选项不见了)
MXNet网络模型(四)GAN神经网络

袋鼠云数栈基于CBO在Spark SQL优化上的探索

Learning Transferable Visual Models From Natural Language Supervision

Redis+Caffeine两级缓存,让访问速度纵享丝滑

Countless times of stepping on the pit to install awvs

走好数据中台最后一公里,为什么说数据服务API是数据中台的标配?

Mysql 安装(rpm包方式)

数据资产为王,如何解析企业数字化转型与数据资产管理的关系?
随机推荐
NFT排行榜-NFT实盘最新地址:NFT排行榜.COM
MXNet网络模型(五)条件GAN神经网络
袋鼠云数栈基于CBO在Spark SQL优化上的探索
AVPlayer添加播放进度监听
wkwebview白屏
Nmap and Nikto scanning
Today's codefarmer girl summed up the notes on the difference between the method of jQuery processing cache and the method of event delegation
Today's code farmer girl did exercises on breathing lights, controlled components and high-level components
NFT-数字藏品之库里为何花116万买一个NFT头像?回顾NFT头像的“发迹史”或许能找到答案
binary search
手把手带你从零开始完整开发经典游戏【俄罗斯方块】,全部逻辑只用不到200行代码。
MapReduce环境准备
防抖debounce和节流throttle的使用
js实用小技巧
数据指标体系如何搭建才最有效,从0到1带你快速入门
The interviewer asked: how to check if redis suddenly slows down?
雾计算中的数据安全问题综述
iPhone 各大机型设备号
Redis 突然变慢了?
phthon3 安装 MySQLdb 报错问题解决 Reason: image not found