当前位置:网站首页>Openpose: estimation de la pose 2D Multi - personnes en temps réel à l'aide d'un champ d'affinité partiel
Openpose: estimation de la pose 2D Multi - personnes en temps réel à l'aide d'un champ d'affinité partiel
2022-07-18 23:52:00 【Les scories sont en route.】
OpenPose: Realtime Multi-Person 2D Pose Estimation using Part Affinity Fields
Résumé
Multijoueur en temps réel2DL'estimation de la posture est un élément clé pour permettre à la machine de comprendre les gens dans les images et les vidéos.Dans ce travail,Nous proposons une méthode en temps réel pour détecter la présence de 2D Posture.La méthode proposée utilise une représentation non paramétrique,On appelle ça un champ de corrélation partielle (PAF),Pour apprendre à associer des parties du corps à des individus dans l'image.Peu importe le nombre de personnes dans l'image,Ce système ascendant permet une haute précision et des performances en temps réel. Dans des travaux antérieurs,PAF Et l'estimation de la position des parties du corps a été améliorée pendant la phase d'entraînement.Nous avons prouvé que c'était“PAF Raffinement”Au lieu de“PAF Et le raffinement de la position des parties du corps”Il en résulte une amélioration significative des performances et de la précision de l'exécution.Nous avons également montré la première combinaison de détecteurs de points clés du corps et des pieds,Sur la base d'un ensemble de données annotées internes sur les pieds que nous publions publiquement.Nous avons montré,Par rapport à leur exécution séquentielle,Le détecteur combiné réduit non seulement le temps de raisonnement,Et la précision de chaque composant est maintenue séparément.Ce travail a finalement été publié OpenPose Pour l'orgasme,C'est le premier pour plusieurs personnes 2D Un système open source en temps réel pour la détection de posture,Y compris le corps、Pieds、Les clés de la main et du visage.
1、 Introduction
Dans cet article, Nous avons examiné les éléments de base pour obtenir une compréhension détaillée des personnages dans les images et les vidéos :Le corps humain 2D Estimation de la posture( Ou localiser des points anatomiques clés ou “Section”La question de). L'estimation du corps humain se concentre principalement sur la recherche de parties du corps d'une personne . L'extrapolation des poses Multi - personnes dans les images pose un ensemble unique de défis .Tout d'abord,, Chaque image peut contenir un nombre inconnu de personnes , Ces personnes peuvent apparaître dans n'importe quelle position ou échelle .Deuxièmement,,Par contact、 Occlusion ou articulations des membres , Les interactions entre les personnes peuvent entraîner des perturbations spatiales complexes , Cela rend l'Association des sous - ensembles difficile . Troisièmement, La complexité de l'exécution tend à augmenter avec le nombre de personnes dans l'image , Cela rend la performance en temps réel un défi .
Une méthode courante consiste à utiliser des détecteurs humains et à effectuer une estimation de la posture d'une personne pour chaque détection . Ces méthodes descendantes utilisent directement l'état de la technique pour estimer la posture d'une personne , Mais sous l'influence d'engagements antérieurs : Si le détecteur de piétons échoue , Comme c'est facile quand les gens s'approchent , Ne peut pas être restauré .En outre, Leur temps de fonctionnement est proportionnel au nombre de personnes dans l'image , Pour tout le monde , Un seul Estimateur de posture fonctionne .En comparaison, Une approche ascendante est attrayante , Parce qu'ils offrent la robustesse d'un engagement précoce , Et il est possible de séparer la complexité de l'exécution du nombre de personnes dans l'image .Et pourtant, L'approche ascendante n'utilise pas directement les indices contextuels globaux provenant d'autres parties du corps et d'autres personnes . L'approche ascendante initiale ([1]、[2]) N'a pas maintenu l'amélioration de l'efficacité , Parce que l'analyse finale exige un raisonnement global coûteux , Chaque image prend quelques minutes .
Dans cet article, Nous proposons une méthode efficace d'estimation de la posture Multi - personnes , Bonne performance sur plusieurs points de repère communs .Nous passons Part Affinity Fields (PAFs) Présentation de la première représentation ascendante des scores associés ,C'est un groupe de 2D Champ vectoriel, Utilisé pour encoder la position et l'orientation des membres sur le champ d'image .Nous prouvons, En même temps, on déduit que ces représentations ascendantes de détection et d'association sont encodées dans un contexte global suffisant , Afin que l'analyse gourmande puisse obtenir des résultats de haute qualité à un faible coût de calcul .
Une version antérieure du manuscrit apparaît dans [3] Moyenne. Cette version apporte de nouvelles contributions . Tout d'abord,,Nous prouvons PAF Le raffinement est essentiel pour maximiser la précision , Et le raffinement prédictif des parties du corps n'est pas si important . Nous avons augmenté la profondeur du réseau , Mais la phase de raffinement des parties du corps a été supprimée (No 3.1 Et 3.2 Section). Ce réseau amélioré améliore la vitesse et la précision d'environ 200% Et 7%(No 5.2 Et 5.3 Section).Deuxièmement,, Nous avons montré un 15K Ensemble de données de pied étiqueté pour l'Instance de pied humain 1, Cet ensemble de données a été rendu public (No 4.2 Section),Et nous avons montré, Vous pouvez former des modèles combinés avec des touches de corps et de pieds , Maintenir la vitesse du modèle de corps pur , Tout en maintenant sa précision (No5.5Section).Troisièmement, Nous avons estimé la tâche en l'appliquant aux points critiques du véhicule (No 5.6 Section) Pour prouver la généralité de notre approche .Enfin, Ce travail a été enregistré OpenPose [4] Publication de. Cette bibliothèque open source est la première à être utilisée pour plusieurs personnes 2D Système en temps réel de détection de posture ,Y compris le corps、Pieds、 Les clés de la main et du visage (No 4 Section). Nous incluons également les Mask R-CNN [5] Et Alpha-Pose [6] Comparaison des temps d'exécution , Montre les avantages informatiques de notre approche ascendante (No 5.3 Section).

Fig.1:Graphique ci - dessus:Estimation de la posture multijoueur. Les parties du corps appartenant à la même personne sont liées , Y compris les touches de pied ( Gros orteil 、 Petits orteils et talons ).En bas à gauche: Champ d'association de pièces correspondant au membre qui relie le coude droit au poignet (PAF). Direction du codage des couleurs .En bas à droite:ChaquePAF De chaque pixel de 2D Les vecteurs encodent la position et l'orientation des membres .
2、Travaux connexes
Estimation de la posture simple
La méthode traditionnelle d'estimation de la posture articulaire du corps humain consiste à extrapoler les observations locales des parties du corps et les dépendances spatiales entre elles . Le modèle spatial de la pose articulaire est basé sur le modèle graphique de la structure de l'arbre [7]、[8]、[9]、[10]、[11]、[12]、[13], Les relations spatiales entre leurs codes paramétriques suivent les parties adjacentes de la chaîne cinématique , Ou modèle non arborescent [14]、[15]、[16]、[17]、[18], Ils renforcent la structure de l'arbre en ajoutant des bords pour capturer l'occlusion 、 Symétrie et relations distantes . Pour obtenir une observation locale fiable des parties du corps ,Réseau neuronal convolutif (CNN) A été largement utilisé, Et améliore considérablement la précision de l'estimation de la posture corporelle [19]、[20]、[21]、[22]、[23]、[24]、[25]、[26]、[27]、[28]、[29]、[30]、[31]、[32]. Thompson et al. [23] Utiliser un schéma de profondeur avec un modèle graphique , Les paramètres sont appris conjointement avec le réseau . Fist et al. [33]Utilisation ultérieure CNN Saisir implicitement les dépendances spatiales globales en concevant des réseaux avec de grands champs de perception .Wei L'architecture de la machine de pose de convolution proposée par et Al [20] Un cadre de prévision séquentielle a été utilisé [34] Architecture en plusieurs étapes pour ; Combiner itérativement le contexte global pour affiner les cartes de confiance des pièces et préserver l'incertitude multimodale des itérations précédentes . Une surveillance intermédiaire est effectuée à la fin de chaque phase , Pour résoudre le problème de la disparition du gradient pendant l'entraînement [35]、[36]、[37]. Newell et al. [19] Il montre également que, La surveillance intermédiaire est utile dans l'architecture des sabliers empilés .Et pourtant, Toutes ces méthodes supposent qu'une personne , Il donne l'emplacement et la taille des personnes intéressées .
Estimation de la posture multijoueur
Pour l'estimation de l'attitude multijoueur ,La plupart des méthodes [5]、[6]、[38]、[39]、[40]、[41]、[42]、[43]、[44] Utilisez d'abord la stratégie de haut en bas pour détecter les gens , La posture de chaque personne est ensuite estimée indépendamment sur chaque zone détectée . Bien que cette stratégie ait permis d'appliquer directement les techniques mises au point pour les cas individuels , Mais elle n'est pas seulement influencée par les résultats des tests de dépistage précoce du personnel , Et ne peut pas saisir les dépendances spatiales entre les différentes personnes qui ont besoin d'un raisonnement global . Certaines méthodes ont commencé à considérer la dépendance interpersonnelle . Eichner et al. [45] La structure graphique a été élargie pour tenir compte d'un ensemble interactif de personnes et de séquences de profondeur , Mais un détecteur humain est toujours nécessaire pour initialiser l'hypothèse de détection . Pisuline et al. [1] Une approche ascendante est proposée , Cette méthode combine les sections de marquage pour détecter les candidats et les associer à des personnes , Les fractions par paires sont régressées à partir du décalage spatial de la partie détectée . Cette méthode ne repose pas sur la détection des piétons ,Mais, Résoudre la programmation linéaire intégrale proposée sur un graphique entièrement connecté est un NP-hard Questions, Le temps moyen de traitement d'une seule image est donc d'environ quelques heures . Insafutdinov Et al.[2]Fondé sur[1]Sur la base de,Avec une base ResNet [46] Un détecteur partiel plus puissant pour les fractions appariées liées à l'image , .Et le temps d'exécution a été considérablement amélioré grâce à la méthode d'optimisation progressive , Mais la méthode prend encore quelques minutes par image ,Il y a une limite La plupart 150 Propositions partielles .[2] La représentation par paires utilisée dans est le vecteur de décalage entre chaque paire de parties du corps , Il est difficile de revenir avec précision , Une régression logique distincte est donc nécessaire pour convertir les caractéristiques appariées en fractions de probabilité .
Au début du travail [3]Moyenne, Nous avons proposé un champ d'affinité partiel (PAF), C'est une représentation d'un ensemble de champs d'écoulement , Il encode un nombre variable de relations non structurées en paires entre les parties du corps .Avec[1]Et[2]Comparé à, Nous pouvons efficacement PAF Obtenir des points par paires , Sans aucune étape de formation supplémentaire . Ces scores sont suffisants pour permettre à l'analyse gourmande d'obtenir des résultats de haute qualité avec une performance en temps réel pour l'estimation Multi - personnes . En même temps que ce travail ,Insafutdinov Et d'autres ont encore simplifié leur carte des parties du corps , Pour un raisonnement plus rapide dans un modèle à cadre unique , Et le suivi articulaire du corps humain a été développé comme un groupe spatio - temporel de recommandations de localisation .Récemment,NewellEt al.[48] L'intégration associative est proposée , Il peut être considéré comme une étiquette représentant chaque groupe de clés . Ils regroupent les points clés portant des étiquettes similaires en individus . Papandreou et Al [49] Il est proposé de détecter les points clés individuels et de prévoir leur déplacement relatif , Permettre le processus de décodage gourmand pour grouper les clés dans les instances de caractères . Kokabas et Al [50] Un réseau de résidus d'attitude est proposé , Il reçoit la détection des points clés et des personnes , Les touches sont ensuite assignées à la zone de délimitation des caractères détectée . Nie et al. [51] Il est proposé de diviser toutes les détections de points - clés en utilisant une régression intensive des points - clés candidats aux centroïdes des personnes dans l'image .
Dans ce travail, Nous avons étendu nos travaux antérieurs [3].Nous avons prouvé PAF Le raffinement est essentiel et suffisant pour une grande précision , Amélioration de la profondeur du réseau tout en éliminant le raffinement de la carte de fiabilité de la position du corps . Cela conduit à des modèles plus rapides et plus précis . Nous avons également montré la première combinaison de détecteurs de points clés du corps et des pieds, Il a été créé à partir d'un ensemble de données annotées sur les pieds qui sera publié publiquement .Nous prouvons, Par rapport au fonctionnement autonome , La combinaison de ces deux méthodes de détection réduit non seulement le temps de raisonnement , Et en maintenant leur précision respective .Enfin,Nous vous présentons OpenPose, C'est la première fois que vous utilisez un corps en temps réel 、Pieds、 Bibliothèque open source pour la détection des touches de la main et du visage .
3、Méthodes

Fig.2 Processus d'organisation (a) Notre méthode utilise l'image entière comme entrée ,PourCNNPrévisions conjointes(b) Cartes de confiance pour la détection des parties du corps humain et (c) Partie associée à PAFs(d) L'étape d'analyse effectue un ensemble de correspondances bipartites pour associer les candidats aux parties du corps (e) Nous les combinons finalement en postures de tout le corps humain dans l'image .
Fig. 2 Illustre le processus global de notre approche . Le système aura une taille de w × h Image couleur de(Fig. 2a)Comme entrée, Et générer des clés anatomiques pour tout le monde dans l'image 2D Emplacement(Fig. 2e).Tout d'abord,, Un ensemble de réseaux d'alimentation qui prédisent la position des parties du corps 2D Carte de confiance S(Fig. 2b) Et une partie du champ d'affinité (PAF)Un groupe de 2D Champ vectoriel L, .Ils encodent le degré de corrélation entre les parties (Fig. 2c).Ensemble S = (S1 ,S2 ,...,S J ) Oui. J Cartes de confiance, Une par section ,Parmi eux S j ∈ R w×h , j ∈ {1...J} . Ensemble L = (L 1 ,L 2 ,...,L C ) Oui. C Champs vectoriels , Un par membre ,Parmi eux L c ∈ R w×h×2 , c ∈ {1...C} . Par souci de clarté, Nous avons symétrisé les parties en membres , Mais certains ne sont pas des membres humains. (Par exemple,Le visage).Lc Chaque emplacement d'image dans encode un vecteur bidimensionnel (Fig. 1).Enfin, Par un raisonnement avide (Fig. 2d) Cartes de confiance analytiques et PAF, Pour afficher le 2D Points clés.
3.1、Architecture du réseau

Fig.3 Plusieurs niveauxCNNArchitecture de. Première série de prévisions de phase PAFs Lt, Et le dernier ensemble de cartes de confiance prédictives St. Relier les prévisions de chaque étape et les caractéristiques d'image correspondantes à chaque étape ultérieure .Méthode originale[3] La taille du noyau dans est 7 La Convolution de est remplacée par le noyau 3De3Convolution laminaire, Ces convolutions sont en série à leurs extrémités
Notre architecture,Comme le montre la figure 3 Comme indiqué, Prédit itérativement les champs d'affinité partiellement à partiellement corrélés codés ( Afficher en bleu ) Et le diagramme de confiance de détection ( Afficher en beige ).Suivre[20] L'architecture de prévision itérative améliore les prévisions pour les phases successives ,t∈{1,...,T} , Il y a une supervision intermédiaire à chaque étape .
Profondeur du réseau par rapport à [3]Augmentation. Dans la méthode originale , L'architecture du réseau comprend plusieurs 7x7 Couche de convolution. Dans notre modèle actuel ,En prenant chaque 7x7 Noyau de convolution remplacé par 3 Continu 3x3 Noyau, Le champ sensoriel est conservé tout en réduisant le calcul . Le premier a un nombre de fois de fonctionnement de 2×7^2 − 1 = 97 , Ce dernier n'a que 51 Une fois.En outre, Selon un modèle similaire DenseNet [52] Méthode,Oui. 3 La sortie de chacun des noyaux de convolution est connectée . Le nombre de couches non linéaires a triplé , Les réseaux peuvent conserver à la fois des caractéristiques de niveau inférieur et supérieur .No 5.2 Section et Section 5.3 La section analyse l'amélioration de la précision et de la vitesse de fonctionnement. .
3.2、 Détecter et corréler simultanément
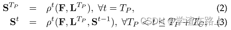
Image de CNN Analyse(Par VGG-19 [53] Avant 10 Initialisation et réglage fin de la couche ), Générer un ensemble de graphiques caractéristiques F Entrée dans la phase 1 . À ce stade, Le Réseau produit un ensemble de champs d'affinité partiels (PAF) L 1 = φ 1 (F) ,Parmi eux φ 1 Il s'agit de l'étape 1 Pour raisonner CNN. À chaque étape ultérieure , Prévisions de la phase précédente et Caractéristiques de l'image originale F Connecté et utilisé pour produire des prévisions précises ,
Parmi eux φ t Est utilisé en phase t Pour raisonner CNN,Et T P C'est le total PAF Nombre de phases . In T P Après itération, Répéter le processus pour la détection des cartes de correspondance ,De la dernière PAF Les prévisions commencent ,
Parmi eux ρ t Est utilisé en phase t Pour raisonner CNN,EtTC Est le nombre de phases du graphique de confiance total .
Cette approche est différente de [3],Parmi euxPAF Et les branches des cartes de confiance sont affinées à chaque étape .Donc,, Réduction de moitié du nombre de calculs par phase .Nous sommes dans la 5.2 L'expérience montre que , Une meilleure prédiction du champ d'affinité améliore les résultats des cartes de confiance , Le contraire n'est pas vrai .Intuitivement,Si on regarde PAF Sortie du canal, On peut deviner la position des parties du corps .Mais, Si on voit un tas de parties du corps sans autre information , On ne peut pas les analyser en différentes personnes .

Fig.4 À chaque étape de l'avant - bras droit PAF. Bien qu'il y ait confusion entre les parties gauche et droite du corps et les membres au début , Mais à un stade ultérieur , Extrapolation globale , Les estimations seront de plus en plus précises .
Fig. 4 Montre le raffinement du champ d'affinité à travers les étapes . Les résultats des cartes de confiance sont à jour et à jour PAF Prévu au - dessus des prévisions , Il en résulte peu de différences significatives entre les phases du diagramme de confiance . .Pour guider le réseau dans la prédiction itérative des parties du corps dans la première branche PAF Et le graphique de confiance dans la deuxième branche , Nous avons appliqué une fonction de perte à la fin de chaque phase . Nous utilisons entre les prévisions estimées et les cartes et champs réels L2Pertes. Ici, Nous avons pondéré la fonction de perte dans l'espace , Pour résoudre le problème réel que certains ensembles de données ne peuvent pas marquer complètement tout le monde .Plus précisément,,PAFLa branche estti La fonction de perte et le graphique de confiance de la phase sont ramifiés à tk Les fonctions de perte pour la phase sont respectivement :

Parmi euxL*c- Oui. groundtruth PAF,S*j- Oui. groundtruth Graphique de confiance partielle ,W C'est quand les pixels p Quand il manque un commentaire à W(p) = 0 Masque binaire pour. Le masque est utilisé pour éviter de pénaliser les vraies prédictions positives pendant l'entraînement . La surveillance intermédiaire à chaque étape résout le problème de la disparition des gradients en les complétant régulièrement [20].Les objectifs généraux sont les suivants:

3.3、 Diagramme de confiance pour l'inspection des pièces
Évaluer dans l'équation fS.(6)Pendant la formation, Nous sommes passés de 2D Génération de clés groundtruth Graphique de confiance S*. Chaque diagramme de confiance est la croyance qu'une partie particulière du corps peut se trouver dans n'importe quel pixel donné 2D Représentation. Idéalement, Si une personne apparaît sur l'image , Si la partie correspondante est visible , Il devrait y avoir un pic dans chaque graphique de confiance ; S'il y a plus d'une personne dans l'image , Alors tout le monde k Chaque partie visible de j Il devrait y avoir un pic correspondant
D'abord, pour tout le monde k Générer des cartes de confiance personnelles S*j,k.Ordrexj,k∈R2 Pour les personnes dans l'image k Des parties du corps jEmplacement réel.S∗j,kPosition moyennep∈R2 La valeur à est définie comme ,

Parmi eux σ Contrôle de la diffusion des pics . Prévision du réseau groundtruth Le graphique de confiance est l'agrégation d'un seul graphique de confiance à travers l'opérateur maximum ,
![]()
Nous prenons la valeur maximale du graphique de confiance au lieu de la valeur moyenne , Afin que la précision des pics voisins reste différente ,Comme indiqué à droite. Lors des essais, Nous prédisons les cartes de confiance , Et obtenir des candidats pour les parties du corps en effectuant une inhibition non maximale .
3.4、 Champs associés à l'assemblage

Fig.5 Politique d'association des Parties .(a) Candidats à l'examen des parties du corps pour deux types de parties du corps ( Points rouges et bleus ) Et tous les candidats à la connexion (Ligne grise).(b) Résultats de la connexion en utilisant le point médian (Point jaune)Représentation: Connexion correcte qui satisfait également aux contraintes d'association (Ligne noire) Et mauvaise connexion (Ligne verte).(c)Résultats utilisantPAFs(Flèche jaune). En encodant la position et l'orientation sur le support du membre ,PAF Association d'erreurs éliminée
Un ensemble donné de parties du corps détectées (Comme le montre la figure 5a Points rouges et bleus dans ), Comment les assembler dans un nombre inconnu de poses du corps entier ? .Nous avons besoin d'une mesure de confiance de l'Association pour chaque paire de tests de parties du corps , C'est - à - dire qu'ils appartiennent à la même personne . .Une façon possible de mesurer les associations est de détecter les points médians supplémentaires entre chaque paire de composants sur un membre. , Et vérifier son incidence entre les essais des composants candidats ,Comme le montre la figure 5b Comme indiqué. Et pourtant, Quand les gens se réunissent —— Comme ils ont tendance à le faire —— Ces points médians peuvent supporter de mauvaises associations (Comme le montre la figure5bLa Ligne verte dans). Cette association erronée résulte de deux limitations dans la représentation :
(1) Il encode seulement la position de chaque membre , Pas la direction. ;(2) Il réduit la zone de soutien du membre à un point .
Champs d'association des Parties (PAF) Ces restrictions ont été levées. Ils conservent des informations sur l'emplacement et l'orientation des zones de soutien des membres (Comme le montre la figure 5c Comme indiqué). Chaque PAF C'est pour chaque membre 2D Champ vectoriel,Comme le montre la figure 1d Comme indiqué. Pour chaque pixel d'une zone appartenant à un membre particulier ,2D Le codage vectoriel va d'une partie d'un membre à l'autre . Chaque type de membre a un PAF, Connectez ses deux parties du corps associées .
Considérez les membres individuels comme indiqué dans l'illustration suivante .Ordrexj1,kEtxj2,k Pour le corps 0 0.1 0.2 0.3 0.4 0.5 0.6 0.7 0.8 0.9 1 Gaussian 1 Gaussian 2 Max Average p S 0 0.2 0.4 0.6 0.8 1 Gaussian 1 Gaussian 2 Max Average Sppvv DegroundtruthEmplacement?pxj2,1xj1,kxj2,kSectionj1Etj2 De l'homme dans l'image k Les membres de c.Si vous commandezp Sur les membres ,EtL∗c,k(p) La valeur à est de j1Pointagej2Vecteur unitaire de; Pour tous les autres points , Le vecteur est nul .
Dans la formule de calcul fL6Pendant la formation, Nous allons prendre les points d'image pDegroundtruth PAF L ∗ c,k Défini comme suit:
Ici.,v = (x j 2 ,k - x j 1 ,k )/||x j 2 ,k -x j 1 ,k || 2 Est un vecteur unitaire dans la direction du membre . Un ensemble de points sur un membre est défini comme un point à l'intérieur d'un seuil de distance de segment , Ces points p

Où la largeur des membres σl Est la distance en pixels , Longueur du membre lc,k=||x j2,k−xj1,k||2, v⊥Est perpendiculaire à v Vecteur de
groundtruth Champ d'affinité partiel champ d'affinité moyen pour tous dans l'image ,
Parmi eux n c (p) C'est tout. k L'homme est en train de p Nombre de vecteurs non nuls à .
Pendant l'essai, Nous calculons la correspondance en suivant le segment de ligne reliant les emplacements des composants candidats PAF L'intégrale de ligne sur mesure la corrélation entre les essais des composants candidats . En d'autres termes,, Nous mesurons les prévisions PAF Alignement avec le membre candidat formé par la partie du corps détectée par la connexion .Plus précisément,, Pour les deux emplacements candidats d j 1 Et d j 2 , Nous avons prédit le champ d'affinité du site le long de la ligne L c Échantillonnage effectué, Pour mesurer la confiance qu'ils ont associée

Parmi eux p(u) Sur deux parties du corps d j 1 Et d j 2 Interpoler la position de ,
![]()
Dans la pratique,Nous avons adopté u Les valeurs d'intervalle uniformes sont échantillonnées et additionnées pour approximation intégrale
3.5 Utiliser PAF Analyse Multi - personnes de

Fig.6 Correspondance graphique.(a) Image originale avec détection de pièces .(b)KDiagramme ministériel.(c)Structure arborescente.(d) Un ensemble de dessins bipartites .
Nous effectuons une suppression non maximale sur le graphique de confiance de détection pour obtenir un ensemble discret de positions candidates de pièces . Pour chaque section, En raison de plusieurs personnes dans l'image ou de faux positifs , Nous pourrions avoir plusieurs candidats (Fig. 6b). Ces parties candidates définissent un grand nombre de membres possibles . Nous utilisons ce qui est défini dans l'équation PAF Le calcul de l'intégrale de ligne sur évalue chaque membre candidat . Le problème de la recherche d'une solution optimale correspond à un problème connu sous le nom de NP-Hard [54] De K Problèmes d'appariement des dimensions (Fig. 6c).Dans cet article, Nous proposons un algorithme gourmand , Il produit constamment des correspondances de haute qualité . Nous supposons que la raison en est PAF La grande sensation du web , Les scores associés par paires encodent implicitement le contexte global .
Formellement, Nous avons d'abord obtenu un groupe de candidats à l'examen de parties du corps pour plus d'une personne DJ,Parmi eux DJ={dmj : for j ∈ {1...J},m ∈ {1...N j }} ,Parmi euxNj C'est une partie du corps. j Nombre de candidats pour ,dmj∈R2 C'est une partie du corps. j Dem Emplacement des candidats détectés . Ces tests de sites candidats doivent encore être associés à d'autres sites de la même personne ——En d'autres termes,, Nous devons trouver des endroits qui sont en fait des connexions aux membres pour tester les paires .Nous définissons une variablezmnj1j2∈{0,1} Pour représenter deux candidats à l'essai dmj1Etdnj2 Connecté ou non, L'objectif est de trouver l'allocation optimale pour tous les ensembles de connexions possibles ,Z={zmnj1j2:Pourj1,j2∈{1...J},m∈{1...Nj1},n∈ {1...Nj2}}
Si l'on considère l'article c Une paire de parties d'un membre j1Etj2(Par exemple, Cou et hanche droite ), Alors trouver la meilleure association sera réduit au problème de correspondance binaire de poids maximum [54].Cette situation est illustrée dans la figure5bComme indiqué. Dans ce problème de correspondance graphique , Les noeuds de la figure sont candidats pour la détection des parties du corps Dj1EtDj2, Les bords détectent les connexions possibles entre les paires candidates .En outre, Chaque côté est pondéré par l'équation .11— Polymérisation d'affinité partielle . Les correspondances dans les graphiques bipartites sont un sous - ensemble des bords sélectionnés , Il est sélectionné de telle sorte qu'aucun des deux bords ne partage un noeud . Notre objectif est de trouver une correspondance pour le poids maximum des bords sélectionnés ,

Parmi euxEc Est le type de membre c Poids total correspondant ,Zc Est le type de membre cDeZSous - ensemble,Emn Est la partie définie dans l'équation dmj1Etdnj2 Une affinité partielle entre .11. Équation14 Et15 Force pas deux bords à partager un noeud , C'est - à - dire qu'il n'y a pas deux membres du même type ( Par exemple, avant - bras gauche ) Partager une partie . Nous pouvons utiliser l'algorithme hongrois [55] Pour obtenir une correspondance optimale .
À la recherche d'une posture Multi - corps ,C'est sûr. Z C'est un K Problèmes d'appariement des dimensions . La question est: NP-Hard [54] Et il y a beaucoup de relaxation . Dans ce travail, Nous avons ajouté deux Relaxations pour l'optimisation , Dédié à notre domaine . Tout d'abord,, Nous choisissons le nombre minimum de bords pour obtenir le squelette de l'arbre générant la posture humaine , Au lieu d'utiliser le diagramme complet ,Comme le montre la figure 6c Comme indiqué. Deuxièmement,, Nous avons ensuite décomposé le problème d'appariement en un ensemble de sous - problèmes d'appariement binaire , Et détermine indépendamment les correspondances dans les noeuds d'arbre adjacents ,Comme le montre la figure6dComme indiqué.Nous sommes dans la5.1 Les résultats détaillés de la comparaison sont présentés dans la Section , Cela montre que le raisonnement gourmand minimal est une bonne approximation de la solution globale avec une fraction du coût de calcul . La raison en est que la relation entre les noeuds voisins de l'arbre est PAF Modélisation explicite ,Mais à l'intérieur, La relation entre les noeuds d'arbre non adjacents est établie par CNNModélisation implicite. Cette propriété apparaît parce que CNN L'entraînement a un grand champ émotionnel , Et de noeuds d'arbre non adjacents PAF Cela aura également une incidence sur les prévisions PAF.
Avec ces deux Relaxations , L'optimisation est simplement décomposée en
![]()
Donc,,Nous utilisons Eqns Obtenir des candidats indépendants pour chaque type de membre .13-15. Pour tous les candidats à la connexion des membres , Nous pouvons assembler des connexions qui partagent le même site pour détecter les candidats dans une posture corporelle Multi - corps . Notre schéma d'optimisation de la structure de l'arbre est comparé au diagramme de connexion complet [1]、[2] L'optimisation est de plusieurs ordres de grandeur plus rapide .

Fig.7 RedondancePAF Importance de la connectivité .(a) En raison d'une mauvaise connexion entre le cou et le nez , Deux personnes différentes ont été fusionnées par erreur .(b) La fiabilité de la connexion oreille - épaule droite est plus élevée , Une mauvaise connexion nez - cou a été évitée
Notre modèle actuel contient également PAFConnexion(Par exemple, Entre l'oreille et l'épaule 、 Entre le poignet et l'épaule, etc ). Cette redondance améliore particulièrement la précision des images encombrées ,Comme le montre la figure7Comme indiqué. Pour gérer ces connexions redondantes , Nous avons légèrement modifié l'algorithme d'analyse Multi - personnes . Bien que l'approche initiale commence par le composant racine , Mais nos algorithmes passent par leurs PAF Les fractions trient toutes les connexions possibles par paires . Si une connexion tente de se connecter à quelqu'un qui est déjà assigné à une autre personne 2Parties du corps, L'algorithme reconnaîtra avec un degré de confiance plus élevé qu'il sera lié à PAF Connexion contradictoire , Et puis la connexion actuelle est ignorée .
4、OPENPOSE
De plus en plus d'applications de la vision par ordinateur et de l'apprentissage par machine nécessitent 2D L'estimation de la posture humaine comme entrée dans son système [56]、[57]、[58]、[59]、[60]、[61]、[62]. Pour aider la communauté de recherche à faire avancer son travail , Nous avons rendu public OpenPose[4], C'est la première fois que le corps humain est détecté en une seule image 、Pieds、Les clés de la main et du visage(Total 135 Points clés)Un système multijoueur en temps réel. Exemple de système complet ,Voir fig. 8.

Fig.8 OpenPoseLa sortie de, Détection du corps en temps réel 、Pieds、 Les clés de la main et du visage .OpenPose Robustesse à l'occlusion , Inclus pendant l'interaction homme - ordinateur
4.1、Système
Disponible2D Base d'estimation de la posture corporelle ,Par exempleMask R-CNN[5]OuAlpha-Pose[6], Exiger des utilisateurs qu'ils mettent en oeuvre la plupart des pipelines 、 Leurs propres lecteurs de cadres (Par exemple,Vidéo、 Flux d'images ou de caméras ), Pour visualiser l'affichage des résultats 、 Générer un fichier de sortie avec les résultats (Par exemple,JSON Ou XML Documentation)Attendez..En outre, Les détecteurs de clés faciales et corporelles existants ne sont pas combinés , Besoin d'utiliser une bibliothèque différente à chaque fin . OpenPose Surmonter tous ces problèmes . Il peut fonctionner sur différentes plateformes ,Y compris:Ubuntu、Windows、Mac OSX Et les systèmes embarqués(Par exemple,Nvidia Tegra TX2). Il prend également en charge différents matériels ,Par exemple CUDA GPU、OpenCL GPUEtCPUonlyMatériel. L'utilisateur peut accéder à l'image 、Vidéo、 Webcam et IP Sélection des entrées entre les flux de caméras . Il peut également choisir d'afficher les résultats ou de les enregistrer sur disque , Activer ou désactiver chaque détecteur (Corps、Pieds、 Le visage et les mains ), Activer la normalisation des coordonnées des pixels , Contrôler la quantité de GPU, Sauter les cadres pour accélérer le traitement ,Attendez un peu!
OpenPose Composé de trois modules différents :(a)Corps+ Examen des pieds ,(b)Examen des mains[63],Et(c)Examen Facial. Le noyau est un corps combiné + Détecteur de clés de pied (No4.2Section). Il peut également être utilisé dans COCOEtMPII Modèle de corps pur original formé sur l'ensemble de données [3]. Sortie basée sur le détecteur de corps , Peut être localisé à partir de certaines parties du corps ( Surtout les oreilles. 、Les yeux.、 Nez et cou ) Estimation approximative des limites de taille .De même,, Les recommandations de la boîte de délimitation de la main sont générées à l'aide de touches de bras . Cette méthode hérite de 1 La question de l'approche descendante dont il est question dans la section . L'algorithme du détecteur de clés manuelles est [63] Une explication plus détaillée est donnée dans , Et le détecteur de touches faciales est formé de la même façon que le détecteur de touches manuelles .La bibliothèque comprend également:3D Détection d'assiette des points clés , En exécutant les résultats de plusieurs vues de caméra synchronisées 3D Triangulation et non - linéarité Levenberg-MarquardtRaffinement[64].
OpenPose Le temps de raisonnement est supérieur à toutes les méthodes les plus avancées , Tout en maintenant des résultats de haute qualité . Il peut être équipé de Nvidia GTX 1080 Ti Sur la machine à 22 FPSLa vitesse de, Tout en maintenant une grande précision (No5.3Section).OpenPose A été utilisé par la communauté de la recherche dans de nombreux domaines de la vision et de la robotique , Par exemple, la reconnaissance du personnel [56]、Basé surGAN Redirection vidéo du visage humain [57] Et le corps [58]、Interaction homme - ordinateur[59]、3DEstimation de l'attitude[60]Et3D Génération de mailles humaines [61].En outre,OpenCVBibliothèque[65] Dans son réseau neuronal profond (DNN) Le module contient OpenPose Et nous sommes basés sur PAFArchitecture réseau pour.
4.2、 Détection étendue des points critiques du pied

Fig.9 Analyse des clés du pied .(a) Notes clés du pied , De gros orteils 、 Petit orteil et talon .(b) Exemple de modèle de corps pur qui n'évalue pas correctement la cheville droite .(c) Comme le corps. + Exemple de modèle de pied , L'information sur le pied aide à prédire la position de la cheville droite
Ensemble de données existantes sur la posture humaine ([66]、[67]) Contient un nombre limité de types de parties du corps .MPIIEnsemble de données[66] Cheville annotée 、Genou、Hanches、Épaule、Coude、Poignet、Cou、 Torse et tête ,EtCOCO [67] Quelques touches faciales sont également incluses .Pour ces deux ensembles de données, Les notes sur les pieds sont limitées à la position de la cheville .Et pourtant,Applications graphiques, Comme la redirection de l'image de tête ou 3D Reconstruction de la forme humaine ([61],[68]) Des touches de pied sont nécessaires , Comme les gros orteils et les talons . Sans information sur le pied , Ces méthodes rencontrent des effets tels que l'emballage des bonbons 、 Pénétration du sol et patinage des pieds .Pour résoudre ces problèmes,COCO Une petite partie de l'ensemble de données utilise ClickworkerPlate - forme [69] Marquer. Il est divisé en COCO De l'ensemble d'entraînement14K Commentaires et 545Commentaires. Total marqué 6 Touches de pied (Voir fig. 9a). Nous pensons aux points clés du pied 3D Coordonnées au lieu de la position de la surface .Par exemple, Pour la position exacte des orteils , Nous avons marqué la zone entre l'ongle et la peau , Et la profondeur est également prise en compte en marquant le Centre de l'orteil au lieu de la surface .

Fig.10 3 Configuration des commentaires clés pour les ensembles de données
En utilisant nos ensembles de données , Nous avons formé l'algorithme de détection des points clés du pied . Vous pouvez générer des recommandations pour la boîte de délimitation des pieds en utilisant le détecteur de clés du corps , Ensuite, un détecteur de pied est formé pour construire un détecteur de clés de pied puéril .Et pourtant, Cette méthode existe dans la section 1 Questions descendantes décrites dans la Section .Au contraire., Former les mêmes structures que celles décrites précédemment pour l'estimation du corps afin de prévoir la position du corps et des pieds .Fig.10 Trois ensembles de données sont affichés (COCO、MPIIEtCOCO+foot) Répartition des points clés .Corps+ Le modèle pied ajoute également un point d'interpolation entre les hanches , Même si le torse supérieur est masqué ou au - delà de l'image , Les jambes peuvent également être attachées . Nous avons trouvé des preuves que la détection des points critiques du pied aide implicitement le réseau à prédire plus précisément certains points critiques du corps , Surtout les clés des jambes , Par exemple, la position de la cheville .Fig.9b Montre un exemple où seul le réseau du corps ne peut pas prédire la position de la cheville . En incluant les touches du pied pendant l'entraînement , Tout en maintenant les mêmes notes de corps , L'algorithme prédit correctement le graphique 9c Position de la cheville .On est là. 5.5 La différence de précision est analysée quantitativement dans la Section .
Adresse de la thèse
2017:https://arxiv.org/pdf/1611.08050.pdf
2019:https://arxiv.org/abs/1812.08008
Code adresse
L'idée générale de la thèse
1、 Après l'entrée de l'image , On a d'abord fait une Convolution ,C'est ce qu'il y a dans l'image ci - dessus.F, La description dans le document est :VGG-19Avant10 Initialisation et réglage fin de la couche
2、 Un calcul de convolution PAFs, C'est la relation entre les points. , Les pertes ont été calculées dans ce processus
3、 Oui.1 Les résultats et 2 Le résultat a été une mosaïque
4、 La dernière Convolution calcule la confiance de chaque articulation , Et calculé les pertes
Introduction à la théorie
AIIdentifier les cinq royaumes de l'homme
AI L'identification des personnes peut être divisée en cinq niveaux ,Dans l'ordre:
1.Y a - t - il quelqu'un??->object detection (YOLOSSDFaster-RCNN)
2.Où sont les gens??->object localization & semantic segmentation (Mask-RCNN)
3.Qui est cet homme??->face identification Reconnaissance faciale
4.Quel est l'état de cet homme en ce moment? pose estimation
5. Qu'est - ce que cet homme fait en ce moment ?->Sequence action recognition Reconnaissance du comportement d'une courte vidéo
Le défi de la détection d'attitude
Le nombre de personnes dans chaque image est inconnu .
Les interactions humaines sont très complexes , Comme le contact 、Occlusion, etc, Cela permet d'unir les membres , C'est - à - dire déterminer quelles parties d'une personne deviennent difficiles .
Plus il y a de gens dans l'image ,Plus la complexité du calcul est grande( Corrélation positive entre la quantité calculée et la quantité de personnes ),Ce qui rendreal timeÇa devient difficile..
Estimation de la posture multijoueur
L'estimation de la posture multijoueur est divisée en Bottom-UpMéthodes ettop-down Méthode deux directions 1、De bas en haut(Bottom-Up)Méthodes: Détecter d'abord les touches du corps humain dans l'image , Ensuite, les points clés du corps humain de plusieurs personnes dans l'image sont assignés à différents cas du corps humain . 2、De haut en bas(Top-DownMéthodes): Lancez d'abord un détecteur humain sur l'image , Trouvez tous les cas humains , Détection des points critiques pour la réutilisation de chaque corps humain , Cette approche consiste à séparer la détection humaine de la détection des points critiques
Algorithme gourmand
Algorithme gourmand(Aussi appelé algorithme gourmand)Oui.,Lors de la résolution d'un problème,Toujours faire ce qui semble être le meilleur choix pour le moment.C'est - à - dire,Ne pas considérer l'optimisation globale,Ce qu'il a fait est une solution optimale locale dans un sens.
NP-problem
(nondeterministic polynomial time) NP Est un polynôme non déterministe (non-deterministic polynomial,AbréviationsNP). Ce qu'on appelle l'incertitude, c'est que , Un certain nombre d'opérations peuvent être utilisées pour résoudre les problèmes qui peuvent être résolus dans le temps polynomial .
PAFs
Part Affinity Fields,Qu'est - ce que c'est?PAFs??
Comme le montre la figure4Comme indiqué, En fait, c'est la connexion entre deux articulations qui produit heatmap
Algorithme hongrois
Et la compréhension personnelle de cet algorithme ,Un exemple simple
Dans le suivi multi - ciblesdeepsortMoyenne, En utilisant cet algorithme , Par exemple, la première image a été détectée. 5Objectifs, Deuxième image détectée 6Objectifs, Le suivi des cibles exige que les cibles des deux cadres précédents et suivants soient appariées autant que possible , L'Algorithme hongrois est de prendre le cadre précédent 5 Les cibles et le cadre suivant 6 Algorithme de correspondance des cibles , Il a calculé une perte , Le programme de jumelage le moins coûteux est le programme de jumelage le plus raisonnable , L'Algorithme hongrois est l'un de ces algorithmes pour trouver la solution optimale avec tant d'objets appariés les uns aux autres
Hungarian Algorithm(Algorithme hongrois)_StarR Le blog de Dust -CSDNBlogs_hungarianAlgorithmes
Description de la version
openpose En fait, il y a deux articles , C'est une équipe qui a écrit , Les dates de publication sont respectivement 2017Année et2019Année,
2017 La structure du réseau en :

2019 Le réseau de l'année

In2019 Dans la version ,Sont également explicitement mentionnés, Chaque 7x7 Noyau de convolution remplacé par 3 Continu 3x3 Noyau, En outre, il s'inspire de DenseNetStructure du réseau, Comme dans la partie pointillée de la deuxième image
Liens de référence
OpenPose 2019Résumé de l'édition_ Sisyphe SisyphusBlog de-CSDNBlogs_openposeÉtat d'application
Comment évaluer le projet Open source de l'Université Carnegie Mellon OpenPose? - Oui.
Explication de la compilation de code
OpenPoseCompilation etPyOpenPoseUtilisation de base:
OpenPoseCompilation etPyOpenPoseUtilisation de base_Bip, bip, bip_bilibili
边栏推荐
猜你喜欢

微信小程序_17,插槽

Comment gérer les erreurs courantes lors de l'installation de MySQL

P5js coffee cup steaming JS special effect

res.cc的使用

Canadian deployer Canadian adapter image construction, deployment

5.< tag-动态规划和完全背包问题>lt.70. 爬楼梯 || 进阶版 + lt.322. 零钱兑换 + lt.139. 单词拆分 + lt.279.完全平方数 dbc

用cmd命令进行磁盘清理(主要是系统盘)

每日一题:最近请求次数(剑指offer042)
动态内存管理(C语言)下--常见错误及大厂笔试题

星巴克不使用两阶段提交
随机推荐
常见密码正则表达式
深入了解arduino舵机控制库文件Servo.h
[white box test] design method of logic coverage and path test
canvas无数个三角形动画js特效
Pay attention to using yyyy-mm-dd in the code!
Glide 源码分析(4.13.2)
Pytest interface automation test framework | Interface Association
如何利用mysql5.7提供的虚拟列来提高查询效率
8. Introduction to JVM optimization
此主机支持Intel VT-x ,但Intel VT-x处于禁用状态
动态内存管理(C语言)下--常见错误及大厂笔试题
吃鸡扔掉部分物资 绝地求生
Jedi survive eating chicken 98K does not automatically close the mirror
nodeJS编译环境下使用yarn工具的安装与使用方法
Under dynamic memory management (C language) -- common errors and written examination questions of large factories
验证两个字符串一致
A set of simple multipurpose form widget code
Offer gifts in July. Buy a cloud plate and give it to the super grade Guiqi. It's only limited to 2 months. If you want to buy it, hurry up
MySQL安装常见报错怎么处理
利用备份恢复数据库,但是没有控制文件文件如何解决